Assessment of CLA+T-cell subpopulations in the blood of patients with chronic dermatoses
- Authors: Patrushev A.V.1, Samtsov A.V.1, Nikitin V.Y.1, Soukharev A.V.1, Gumilevskaya O.P.1, Sukhina I.A.1
-
Affiliations:
- Military medical academy of S.M. Kirov
- Issue: Vol 96, No 4 (2020)
- Pages: 22-31
- Section: ORIGINAL STUDIES
- Submitted: 28.07.2020
- Accepted: 04.09.2020
- Published: 17.11.2020
- URL: https://vestnikdv.ru/jour/article/view/1155
- DOI: https://doi.org/10.25208/vdv1155-2020-96-4-22-31
- ID: 1155
Cite item
Full Text
Abstract
Background. CLA+T-cell are an important component of skin-associated lymphoid tissue, and thus determine the pathogenesis of many immuno-mediated dermatoses.
Aims. Determine the relative number of CLA+T-cell subpopulations in the peripheral blood of patients with psoriasis, lichen planus and atopic dermatitis, as well as assess their impact on the severity of dermatoses.
Materials and methods. We examined 82 patients with psoriasis aged 19 to 62 years, 54 patients with lichen planus (LP) aged 18 to 54 years, 44 patients with atopic dermatitis (AD) aged 18 to 44 years, as well as 20 practically healthy individuals aged 18 to 52 years who were admitted to the clinic for the removal of benign skin neoplasms.
All patients underwent a standard clinical examination with the determination of indicators that characterize the severity of dermatosis: PASI (Psoriasis Area and Severity Index) — for patients with psoriasis, IPSLP (index of prevalence and severity of lichen planus) — for patients with lichen planus and SCORAD (Scoring of Atopic Dermatitis) — for patients with atopic dermatitis. Defining subpopulations CLA+T-lymphocytes were carried out on a flow cytometer «Cytomics FC500» by Beckman Coulter using appropriate combinations of direct monoclonal antibodies and isotopic controls. The groups were compared using the nonparametric Mann — Whitney test, and the differences were considered significant at p<0,05. To analyze the relationship between the severity of dermatosis and the relative content of subpopulations CLA+T-cells used Spearman's rank correlation coefficient.
Results. In patients with psoriasis, a significant increase in the percentage of the total number of T-lymphocytes positive for CLA (CLA+CD3+) and T-helpers positive for CLA (CLA+CD4+) (p=0,002 and 8,5×10–4, respectively), in patients with PL and AD only CLA+CD4+ lymphocytes (p=0,028 and 0,003, respectively). In the progressive period of psoriasis, a direct moderate correlation was found between the circulating subpopulation of cytotoxic T lymphocytes positive for CLA (CLA+CD8+) and the PASI index (rs=0,47; p<0,001), in the acute period of AD — between the CLA+CD3+ subpopulations and CLA+CD4+ cells and the SCORAD index (rs=0,53; p < 0,001 and rs=0,57; p<0,001, respectively). In PL, the severity of the course of dermatosis was not accompanied by any significant changes in the CLA-positive T-cell subpopulations.
Conclusion. The results of the study confirmed the important role of CLA+T cell subpopulations in the development of chronic dermatoses. In all groups (psoriasis, LP and AD), an increase in the relative number of CLA+CD4+ T-helpers was noted compared with the control group. The relationship between the severity of psoriasis and the relative number of CLA+CD8+ cytotoxic T-lymphocytes, and the severity of AD — with CLA+CD3+ and CLA+CD4+ T-helpers is also shown.
Full Text
Кожный лимфоцитарный антиген (CLA, cutaneous lymphocyte antigen) идентифицирует субпопуляцию эффекторных Т-лимфоцитов памяти, функционально вовлеченных в патогенез различных кожных заболеваний, опосредованных Т-клетками. CLA имеет специфический углеводный эпитоп, который взаимодействует с E-селектином и является продуктом зависимой от фукозилтрансферазы VII посттрансляционной модификации гликопротеинового лиганда 1 P-селектина [1, 2]. В периферической крови здоровых лиц содержание CLA+Т-клеток от всего пула Т-лимфоцитов, по данным зарубежных авторов, составляет 10–15%, в то время как в коже — 80–90%. При этом Т-клетки, инфильтрирующие другие ткани, являются преимущественно CLA-отрицательными [3–5].
В настоящее время роль CLA+Т-клеток продолжает активно изучаться при различных воспалительных дерматозах, а также лимфомах кожи. С ними связывают не только возможность получения интересных данных о патогенезе кожных заболеваний, но и разработку инновационного избирательного подхода к лечению Т-клеточно опосредованных заболеваний в дерматологии.
Цель исследования
Определить относительное количество субпопуляций CLA+T-клеток в периферической крови больных псориазом, плоским лишаем (красным плоским лишаем) и атопическим дерматитом, а также оценить их влияние на тяжесть течения дерматозов.
Исследование выполнено на кафедре кожных и венерических болезней Военно-медицинской академии в рамках заказной научно-исследовательской работы, утвержденной начальником Главного военно-медицинского управления (шифр «Фокус»). Анализы крови проводились в иммунологической лаборатории центра клинической лабораторной диагностики. На проведение работы получено разрешение независимого Этического комитета Военно-медицинской академии, протокол № 187 от 21.03.2017.
Материалы и методы
В период с января 2017 г. по май 2020 г. обследовано 82 больных псориазом в возрасте от 19 до 62 лет, 54 больных плоским лишаем (ПЛ) в возрасте от 18 до 54 лет, 44 больных атопическим дерматитом (АД) в возрасте от 18 до 44 лет, а также 20 практически здоровых лиц в возрасте от 18 до 52 лет, поступивших в клинику для удаления доброкачественных новообразований кожи. Все пациенты участвовали на добровольной основе, подписав информационный листок пациента с формой информированного согласия. Критерии включения: установленный диагноз псориаза, плоского лишая или атопического дерматита в периоде обострения заболевания, возраст от 18 до 65 лет. Критерии невключения: получение пациентами системной иммуносупрессивной терапии, наличие сопутствующих острых заболеваний или хронических заболеваний в стадии обострения или декомпенсации, наличие онкологических заболеваний на момент обследования или в анамнезе, наличие любых других заболеваний, в развитии которых ведущее значение имеют иммунные нарушения.
Больным псориазом, ПЛ и АД выполнялось стандартное физикальное обследование (сбор анамнеза, осмотр, пальпация, перкуссия и аускультация) с оценкой тяжести течения хронического кожного заболевания по соответствующим индексам: PASI (Psoriasis Area and Severity Index) — для больных псориазом, ИРТПЛ (индекс распространенности и тяжести плоского лишая [5]) — для больных плоским лишаем и SCORAD (Scoring of Atopic Dermatitis) — для больных атопическим дерматитом.
Отбор и подготовка проб: взятие венозной крови в количестве 2 мл проводили утром натощак в одноразовую пластиковую пробирку, содержащую антикоагулянт этилендиаминтетраацетат. Пробу в течение 2 часов доставляли в иммунологическую лабораторию, где в течение 4 часов выполняли исследование. Анализ проводили при показателе жизнеспособности клеток более 90%. К цельной крови пациента в количестве 100 мкл добавляли соответствующую комбинацию моноклональных антител (10 мкл) в рабочем разведении, хорошо перемешивали и инкубировали 15–20 мин при комнатной температуре в темноте. Эритроциты разрушали путем добавления в пробу 1 мл лизирующего раствора OPTILYSE C. После отмывания фосфатно-солевым буфером (PBS) и центрифугирования (5 мин при 1500 об/мин) удаляли супернатант и добавляли в каждую пробирку по 0,5 мл раствора PBS. Лимфоцитарный осадок ресуспендировали и проводили измерения на проточном цитометре “Cytomics FC500” фирмы Beckman Coulter.
Использовали моноклональные антитела (МА), конъюгированные с флуоресцеина изотиоцианатом (FITC), фикоэритрином (PE), тандемом фикоэритрин и техасский красный (PE-TR, ECD), тандемом фикоэритрин и цианин-5 (PC5), тандемом фикоэритрин и цианин-7 (PC7) к следующим поверхностным антигенам: анти-CLA-FITC (BioLegend, США), анти-CD3-ECD (Beckman Coulter, США), анти-CD4-PC5 (Beckman Coulter, США), анти-CD8-PE (Beckman Coulter, США), анти-CD45-PC7 (Beckman Coulter, США). Заявленная комбинация МА позволила определять относительное содержание CLA+CD3+, CLA+CD4+ и CLA+CD8+ Т-клеток (в процентах от всех Т-лимфоцитов).
В обязательном порядке учитывали результаты анализа соответствующих изотипических контролей (моноклональные антитела без специфичности Fab- фрагмента) для оценки доли неспецифического связывания меченых антител и установления параметров интенсивности флюоресценции.
Статистический анализ. Результаты исследования заносили в электронную базу данных Microsoft Excel, затем проводили анализ соответствия вида распределения количественных признаков закону нормального распределения. Учитывая тот факт, что распределение всех изучаемых признаков отличалось от нормального, сравнение групп проводили с применением непараметрического критерия Манна — Уитни. Значения p ниже 0,05 считались значимыми. Для оценки связи между тяжестью течения дерматозов и содержанием субпопуляций CLA+Т-клеток определяли коэффициент ранговой корреляции (r) Спирмена. При работе с данными использовался пакет прикладных программ Statistica 10.0.
Результаты обследования больных псориазом
По клиническим формам больные псориазом были распределены следующим образом: бляшечный псориаз — 67,0% (55 человек), в том числе себорейный и ладонно-подошвенный псориаз по 2 человека; каплевидный псориаз — 33,0% (28 человек). Псориатический артрит диагностирован у 3 пациентов с бляшечным псориазом (3,7%). По степени тяжести заболевания наблюдалась следующая стратификация: тяжелое течение (индекс PASI — 20) у 8 человек, средней тяжести (индекс PASI от 10 до 20) у 35 и легкое течение (индекс PASI — 10) у 39 пациентов.
При анализе гемограммы отмечалось значимое повышение абсолютного числа лейкоцитов в крови больных псориазом по сравнению с практически здоровыми лицами (табл. 1), при этом оценка соответствия индивидуальных значений референсному диапазону (от 4,0 до 8,8×109/л) показала, что только у 4 человек (4,9%) наблюдалось превышение верхней границы нормы, но не более 10,0×109/л. Вышеуказанные изменения можно объяснить высокой удельной долей пациентов с наличием очагов хронической инфекции (хронический тонзиллит у 37,8%, хронический периодонтит у 21,9% человек).
Таблица 1. Иммунологические показатели в группах больных хроническими дерматозами и практически здоровых лиц, медиана (Me) (25; 75%)
Table 1. Immunological indicators in groups of patients with chronic dermatoses and healthy individuals, median (Me) (25; 75%)
Псориаз | ПЛ | АД | Контрольная группа | |
Лейкоциты, ×١٠ 9/л | 6,6 (5,7; 7,4) p=0,011 | 5,9 (5,0; 6,6) p=0,82 | 6,2 (5,2; 7,4) p=0,166 | 5,8 (5,0; 6,6) |
Лимфоциты, % | 31,2 (26,2; 35,1) p=0,310 | 32,5 (27,3; 37,4) p=0,656 | 29,0 (25,6; 34,2) p=0,093 | 30,1 (28,1; 38,4) |
Лимфоциты, ×10 9/л | 2,0 (1,7; 2,3) p=0,298 | 1,9 (1,6; 2,3) p=0,868 | 1,8 (1,4; 2,2) p=0,909 | 1,9 (1,4; 2,2) |
Т-лимфоциты (CD3+), % | 72,4 (67,2; 78,4) p=0,665 | 71,7 (65,0; 75,7) p=0,649 | 73,5 (68,0; 79,4) p=0,394 | 71,9 (67,0; 76,9) |
Т-лимфоциты (CD3+), ×10 9/л | 1,4 (1,2; 1,7) p=0,502 | 1,4 (1,1; 1,6) p=0,698 | 1,4 (1,1; 1,7) p=0,713 | 1,3 (1,0; 1,7) |
Т-хелперы CD3+CD4+, % | 39,2 (35,9; 43,1) p=0,821 | 43,1 (37,3; 51,8) p=0,468 | 37,5 (41,0; 47,5) p=0,268 | 40,4 (37,9; 43,4) |
Цитотоксические Т-лимфоциты CD3+CD8+, % | 25,2 (20,4; 33,7) p=0,792 | 24,0 (21,2; 30,3) p=0,568 | 29,7 (22,9; 31,8) p=0,193 | 25,7 (20,9; 28,6) |
CLA+CD3+-клетки, % от CD3+-лимфоцитов | 8,4 (6,7; 10,4) p=0,002 | 8,1 (6,0; 10,3) p=0,062 | 7,6 (5,9; 9,4) p=0,077 | 6,7 (5,9; 7,8) |
CLA+CD4+-клетки, % от CD3+-лимфоцитов | 6,5 (4,6; 8,1) p=8,5×10–4 | 5,7 (4,1; 7,5) p=0,028 | 6,0 (4,7; 7,4) p=0,003 | 4,6 (3,5; 5,5) |
CLA+CD8+-клетки, % от CD3+-лимфоцитов | 1,9 (1,3; 2,5) p=0,895 | 2,0 (1,4; 2,7) p=0,376 | 1,5 (1,2; 2,1) p=0,265 | 1,8 (1,3; 2,4) |
Анализ содержания общего количества лимфоцитов у больных псориазом по сравнению с контрольной группой не выявил статистически значимых различий как по абсолютному содержанию клеток (Ме псориаз — 2,0×109/л, Ме здоровые — 1,9×109/л), так и по относительному (Ме псориаз — 31,2%, Ме здоровые — 30,1%) (см. табл. 1).
Перед началом анализа экспрессии CLA на Т-лимфоцитах было проведено сравнение процентного содержания CD3+ (T-лимфоцитов), CD3+CD4+ (Т-хелперов) и CD3+CD8+ (цитотоксических Т-лимфоцитов) клеток в периферической крови больных псориазом и здоровых лиц. Медианы значений T-лимфоцитов составили — 72,4% у больных псориазом против 71,9% в контрольной группе, Т-хелперов — 39,2% против 40,4%, цитотоксических Т-лимфоцитов — 25,2% против 25,7%. Группы оказались сопоставимыми по данным показателям (p>0,05), а значит, становится возможным проведение корректной оценки.
Относительное количество CLA+CD3+-клеток у больных псориазом было значимо повышено (Ме — 8,4% против 6,7%) преимущественно за счет популяции Т-хелперов, позитивных по CLA — CLA+CD4+ (Ме — 6,5% против 4,6%). При этом процентное содержание цитотоксических Т-лимфоцитов, позитивных по CLA (CLA+CD8+), не выявило статистически значимых различий по сравнению с контрольной группой (Ме — 1,9% против 1,8%) (см. табл. 1, рис. 1).
Рис. 1. Относительное количество CLA+CD3+ (1, 2), CLA+CD4+ (3, 4) и CLA+CD8+ (5, 6) Т-клеток в крови больных псориазом и практически здоровых лиц (в процентах от общего числа Т-клеток). ** р<0,01, *** р<0,001
Fig. 1. The relative number of CLA+CD3+ (1, 2), CLA+CD4+ (3, 4) and CLA+CD8+ (5, 6) T-cells in the blood of patients with psoriasis and healthy individuals (as a percentage of the total number of T-cells). ** р<0.01, *** р<0.001
Важно отметить, что впервые были получены отечественные данные по содержанию в крови субпопуляций CLA+Т-клеток у здоровых лиц. Результаты оказались следующими: МеCLA+CD3+ — 6,7%, МеCLA+CD4+ — 4,6% и МеCLA+CD8+ — 1,8%. Соотношение CLA+CD4+/CLA+CD8+ составило 2,6. Это несколько выше показателей иммунорегуляторного индекса (CD4+/CD8+) — 1,6 и свидетельствует о большей экспрессии CLA на Т-хелперах.
По сравнению с зарубежными данными, полученные нами значения содержания исследуемых субпопуляций Т-лимфоцитов, экспрессирующих CLA, оказались более низкими. Данный факт можно объяснить тем, что в наших исследованиях (в отличие от проанализированных зарубежных источников) в панель моноклональных антител были включены антитела к общелейкоцитарному антигену CD45 с целью более точного выделения лимфоцитов исследуемой популяции Т-клеток.
При проведении корреляционного анализа выяснилось, что между показателем PASI и количеством Т-клеток, экспрессирующих CLA (CLA+CD3+ клетки), существует прямая слабая статистически значимая связь (r=0,183, p=0,041) и связано это, главным образом, с умеренной корреляцией между PASI и CLA+CD8+ T-клетками (r=0,466, р<0,001). В то время как взаимосвязи между тяжестью дерматоза и количеством CLA+CD4+ Т-клеток не наблюдалось (рис. 2).
Рис. 2. Графическое представление результатов корреляционного анализа между тяжестью заболевания (PASI) и экспрессией CLA на Т-клетках (сравнение PASI с уровнем CLA+CD3+, CLA+CD4+ и CLA+CD8+ клеток)
Fig. 2. Graphical presentation of the results of the correlation analysis between disease severity (PASI) and CLA expression on T-cells (comparison of PASI with the levels of CLA+CD3+, CLA+CD4+ and CLA+CD8+ cells)
Результаты обследования больных плоским лишаем
Больные плоским лишаем были распределены по клиническим формам следующим образом: классическая форма — 92,3% (50 человек), гипертрофическая форма — 7,7% (4 человека). По степени тяжести заболевания наблюдалась следующая стратификация: тяжелое течение (ИРТПЛ — 20) у 14 человек, средней тяжести (ИРТПЛ от 10 до 20) у 32 и легкое течение (ИРТПЛ — 10) у 8 пациентов.
Как видно из представленных результатов в табл. 1, центральные диапазоны значений в выборках, характеризующие количество лейкоцитов, лимфоцитов, Т-лимфоцитов, Т-хелперов и цитотоксических Т-лимфоцитов, не выходили за пределы референсных значений. При этом в сравнении с контрольной группой значимых различий получено не было (p>0,05).
При анализе содержания CLA+CD4+ Т-хелперных клеток отмечалось статистически значимое повышение относительного количества данной субпопуляции в периферической крови больных ПЛ (р=0,028) по отношению к контрольной группе. Медианы значений относительного содержания CLA+CD4+ клеток составили: здоровые лица — 4,6%, больные ПЛ — 5,7%. Тогда как содержание общей популяции Т-клеток, экспрессирующих CLA (CLA+CD3+), и субпопуляции цитотоксических Т-лимфоцитов, позитивных по CLA (CLA+CD8+), значимо не отличалось от показателей практически здоровых лиц (см. табл. 1, рис. 3).
Рис. 3. Относительное количество CLA+CD3+ (1, 2), CLA+CD4+ (3, 4) и CLA+CD8+ (5, 6) Т-клеток в крови больных плоским лишаем и практически здоровых лиц (в процентах от общего числа Т-клеток). * р<0,05
Fig. 3. The relative number of CLA+CD3+ (1, 2), CLA+CD4+ (3, 4) and CLA+CD8+ (5, 6) T-cells in the blood of patients with lichen planus and healthy individuals (as a percentage of the total number of T -cells). * р<0.05
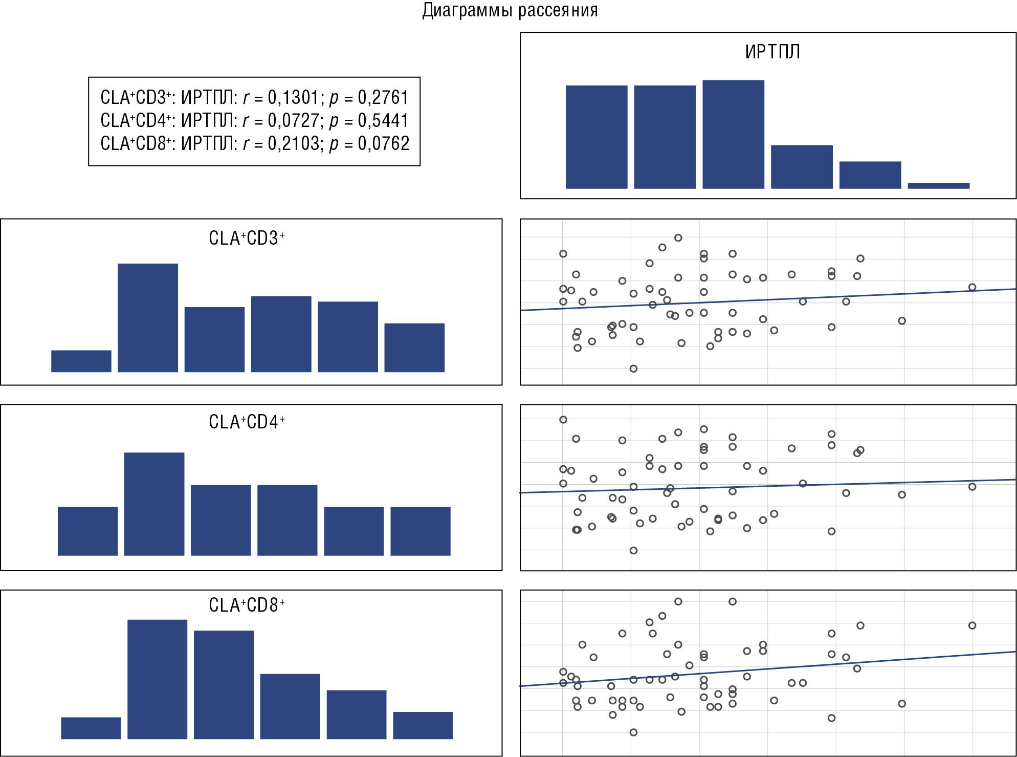
Корреляционный анализ между тяжестью течения ПЛ и содержанием всех изучаемых субпопуляций CLA+Т-клеток (CLA+CD3+, CLA+CD8+ и CLA+CD8+) не выявил наличия статистически значимой связи (рис. 4).
Рис. 4. Графическое представление результатов корреляционного анализа между тяжестью заболевания (ИРТПЛ) и экспрессией CLA на Т-клетках (сравнение ИРТПЛ с уровнем CLA+CD3+, CLA+CD4+ и CLA+CD8+ клеток)
Fig. 4. Graphical presentation of the results of the correlation analysis between the severity of the disease (LPASI) and the expression of CLA on T-cells (comparison of the LPASI with the levels of CLA+CD3+, CLA+CD4+ and CLA+CD8+ cells)
Результаты обследования больных атопическим дерматитом
Больные атопическим дерматитом по степени тяжести заболевания были распределены следующим образом: тяжелое течение (SCORAD — 45) у 44 человек, средней степени тяжести (SCORAD от 15 до 45) у 10 человек, пациенты с легким течением в исследование включены не были.
Как видно из представленных результатов в табл. 1, количество лейкоцитов, лимфоцитов, Т-лимфоцитов, Т-хелперов и цитотоксических Т-лимфоцитов значимо не отличалось от показателей в контрольной группе (p>0,05).
При анализе содержания CLA+CD4+ Т-хелперов отмечалось статистически значимое повышение относительного количества данной субпопуляции в периферической крови больных АД (р=0,003) по отношению к контрольной группе. Медианы значений относительного содержания CLA+CD4+ Т-клеток составили: здоровые лица — 4,6%, больные АД — 6,0%. Тогда как содержание общей популяции Т-клеток, экспрессирующих CLA (CLA+CD3+), и субпопуляции цитотоксических Т-лимфоцитов, позитивных по CLA (CLA+CD8+), значимо не отличалось от показателей практически здоровых лиц (см. табл. 1, рис. 5).
Рис. 5. Относительное количество CLA+CD3+ (1, 2), CLA+CD4+ (3, 4) и CLA+CD8+ (5, 6) Т-клеток в крови больных атопическим дерматитом и практически здоровых лиц (в процентах от общего числа Т-клеток). * р<0,05
Fig. 5. The relative number of CLA+CD3+ (1, 2), CLA+CD4+ (3, 4) and CLA+CD8+ (5, 6) T-cells in the blood of patients with atopic dermatitis and healthy individuals (as a percentage of the total number of T-cells). * р<0.05
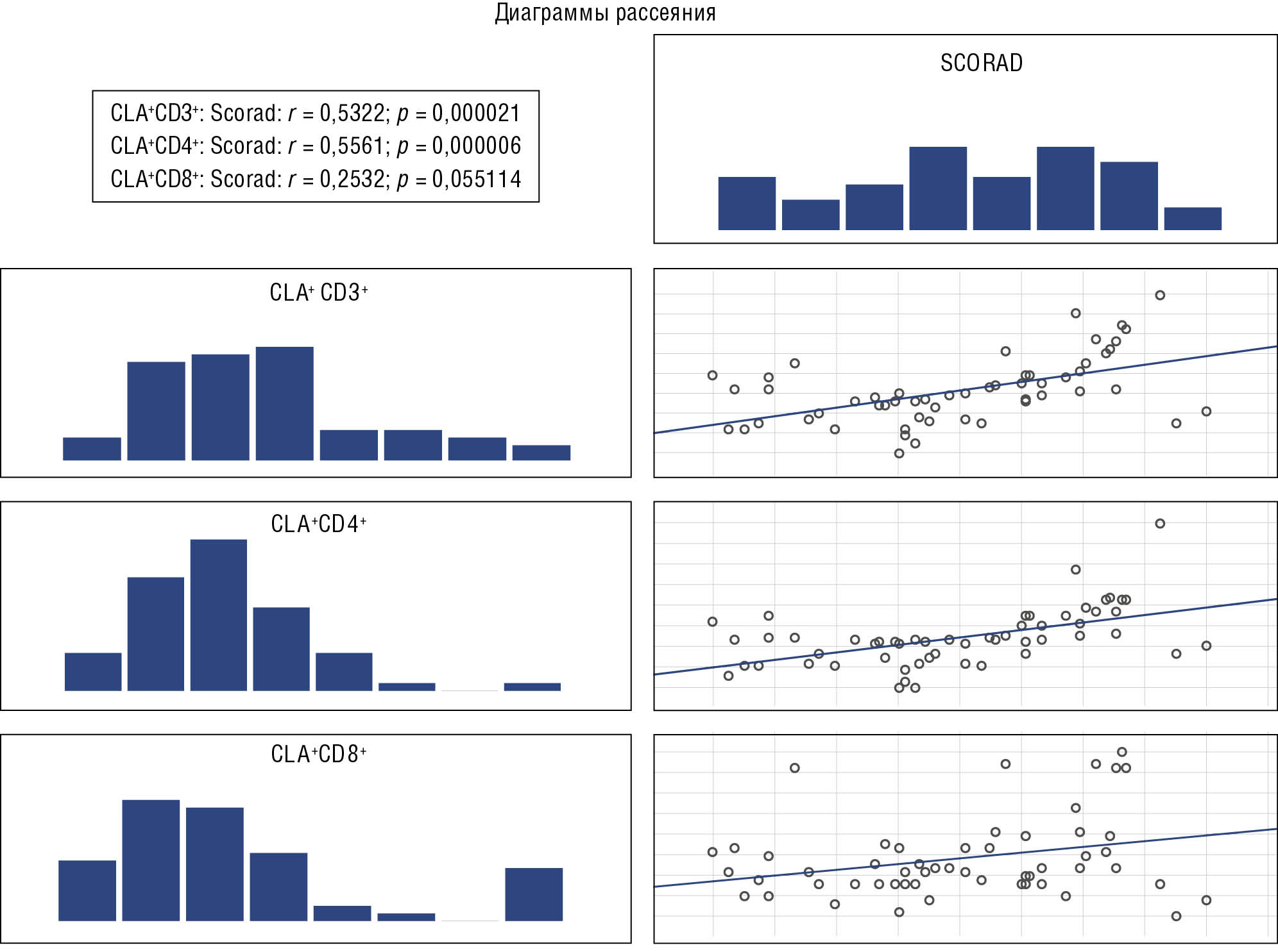
Корреляционный анализ между тяжестью течения АД и содержанием общей популяции Т-клеток CLA+CD3+ и субпопуляции CLA+CD4+ Т-хелперов показал наличие прямой умеренной статистически значимой связи. Взаимосвязи между индексом SCORAD и количеством CLA+CD8+ цитотоксических Т-лимфоцитов в крови больных АД выявлено не было (рис. 6).
Рис. 6. Графическое представление результатов корреляционного анализа между тяжестью заболевания (SCORAD) и экспрессией CLA на Т-клетках (сравнение SCORAD с уровнем CLA+CD3+, CLA+CD4+ и CLA+CD8+ клеток)
Fig. 6. Graphical presentation of the results of correlation analysis between disease severity (SCORAD) and CLA expression on T-cells (comparison of SCORAD with the levels of CLA+CD3+, CLA+CD4+ and CLA+CD8+ cells)
Обсуждение
В данном исследовании впервые в России нами была оценена экспрессия молекулы CLA на Т-лимфоцитах периферической крови больных псориазом, ПЛ, АД, а также практически здоровых лиц. Результаты показали, что диапазон, включающий 95% значений относительного количества общей популяции Т-клеток, экспрессирующих CLA в контрольной группе (здоровые лица), составил 3,3–11,6%, в то время как для позитивных по CLA Т-хелперов (CLA+CD4+) и цитотоксических Т-лимфоцитов (CLA+CD8+) — 2,2–8,8% и 1,0–3,3% соответственно. Полученные данные целесообразно использовать при определении референсного интервала для вышеуказанных субпопуляций.
У больных псориазом отмечалось статистически значимое повышение уровня позитивных по CLA общей популяции Т-клеток и субпопуляции Т-хелперов (CLA+CD3+ и CLA+CD4+), а также выявлена умеренная корреляция между тяжестью дерматоза (PASI) и количеством циркулирующих CD8+ Т-клеток, экспрессирующих CLA. Как известно, субпопуляция цитотоксических Т-лимфоцитов (CD3+CD8+) участвует в патогенезе псориаза, взаимодействуя с клетками эпидермиса, несущими на своей поверхности конкретный аутоантиген в комплексе с ГКГ (главный комплекс гистосовместимости) I класса. Каждый вариант (аллель) гена ГКГ-I может связывать только определенный набор пептидов, а значит, и активировать соответствующий клон цитотоксических Т-лимфоцитов. Оказалось, что основной ген предрасположенности к псориазу как раз относится к ГКГ-I и располагается в локусе Cw (Cw*0602) [7, 8]. Поэтому становится понятной основная роль именно цитотоксических Т-лимфоцитов, несущих CLA (CLA+CD8+), в отношении влияния на клинические проявления дерматоза, в то время как позитивные по CLA Т-хелперы (CLA+CD4+) инициируют и поддерживают воспалительный процесс.
Таким образом, взаимодействие относительно небольшого количества CD4+ T-клеток с антиген-презентирующими клетками создает необходимое микроокружение для привлечения CD8+ T-клеток к псориатическим поражениям. Это объясняет, почему течение псориаза может начать резко прогрессировать у ВИЧ-инфицированных людей с небольшим количеством циркулирующих CD4+ Т-клеток.
В подтверждение данного тезиса представляем клинический случай. В 2017 г. в клинику кожных и венерических болезней Военно-медицинской академии поступил пациент П., 30 лет, с диагнозом: распространенный бляшечный псориаз, тяжелое течение (PASI — 21,4), стационарный период (рис. 7, 8). В ходе обследования выяснилось, что он в течение 5 лет состоит на учете в центре по профилактике и борьбе со СПИДом и инфекционными заболеваниями Санкт-Петербурга, причем назначенную 2 года назад антиретровирусную терапию не принимает. По данным иммунограммы (табл. 2) выявлены признаки выраженного вторичного Т-клеточного иммунодефицита хелперного типа. Наряду с увеличением количества цитотоксических Т-лимфоцитов отмечается их избирательная активация, что проявляется повышением относительного и абсолютного содержания активированных Т-лимфоцитов, несущих маркер активации HLA-DR (СD3+HLA-DR+). Наблюдается также повышение процента регуляторных Т-хелперных клеток (CD3+CD4+CD25bright), обладающих иммуносупрессорной функцией.
Рис. 7. Бляшки большого размера на коже нижних конечностей
Fig. 7. Large plaques on the skin of the lower extremities
Рис. 8. Крупные бляшки на коже туловища и верхних конечностей
Fig. 8. Large plaques on the skin of the trunk and upper extremities
Таблица 2. Основные показатели клеточного иммунитета пациента
Table 2. The main indicators of the patient's cellular immunity
Показатель | Единицы измерения | Результат | Референсный диапазон |
Лейкоциты | ×109/л | 4,5 | 4,0–8,8 |
Лимфоциты | % | 22 | 19–37 |
×109/л | 0,99 ↓ | 1,2–2,5 | |
Т-лимфоциты (CD3+CD19-) | % | 60,6 | 60–80 |
×109/л | 0,6 ↓ | 0,80–2,20 | |
Т-хелперы/индукторы (CD3+CD4+) | % | 8,7 ↓↓ | 30–50 |
×109/л | 0,08 ↓↓ | 0,50–1,20 | |
Цитотоксические Т-лимфоциты (CD3+CD8+) | ×109/л | 52,4 ↑ | 20–30 |
% | 0,52 | 0.30–0.90 | |
Индекс CD3+CD4+/CD3+CD8+ | 0,17 ↓↓ | 1,2–2,5 | |
Активированные Т-лимфоциты (CD3+HLA-DR+) | % | 37,3 ↑↑ | 1,3–10 |
×109/л | 0,37 ↑ | 0,02–0,30 | |
Регуляторные Т-клетки (CD4+CD25brightCD127neg) (% от всех Т-хелперов) | % | 12,2 ↑↑ | 1,65–5,75 |
Общая популяция Т-клеток, экспрессирующая CLA (CLA+CD3+ клетки), % от CD3+ лимфоцитов | % | 18,4 ↑ | 3,3–11,6 |
Т-хелперы, экспрессирующие CLA (CLA+CD4+ клетки), % от CD3+ лимфоцитов | % | 3,5 | 2,2–8,8 |
Цитотоксические Т-лимфоциты, экспрессирующие CLA (CLA+CD8+ клетки), % от CD3+ лимфоцитов | % | 14,8 ↑↑ | 1,0–3,3 |
Примечание: ↓ (↑) — незначительное (менее чем в 2 раза) понижение (повышение) показателя, ↓↓ (↑↑) — значительное (более чем в 2 раза) понижение (повышение) показателя.
Анализ экспрессии CLA на основных субпопуляциях Т-клеток показал, что, несмотря на уменьшение общего количества Т-хелперов (CD3+CD4+), как позитивных, так и негативных по CLA, процентное содержание позитивных по CLA Т-хелперов (CLA+CD4+) остается в пределах нормы (абсолютное количество также снижено, но достаточно для инициации патологического процесса). В то же время количество экспрессирующих CLA цитотоксических Т-лимфоцитов (CLA+CD8+) резко повышено и обеспечивает развитие выраженной клинической картины.
У больных плоским лишаем не было обнаружено взаимосвязи между количеством исследуемых субпопуляций Т-клеток, экспрессирующих CLA, и тяжестью течения дерматоза. Возможно, это обусловлено относительно небольшой (в сравнении с псориазом и АД) площадью поражения кожи, а значит, малым объемом CLA+ Т-клеток, которые необходимы для возникновения и поддержания клинических проявлений ПЛ. С учетом такой минимальной «потребности» в лимфоцитах зафиксировать изменения в крови, даже с учетом постоянной рециркуляции клеток, достаточно сложно. Что касается количественных различий по сравнению с контрольной группой, то они получены только для Т-хелперов, позитивных по CLA (CLA+CD4+). Данный факт может указывать на дополнительный, не связанный с кожей, триггерный фактор, стимулирующий образование молекулы CLA на Т-лимфоцитах.
У больных АД были выявлены как значимое повышение в крови субпопуляции Т-хелперов, позитивных по CLA (CLA+CD4+), так и прямая взаимосвязь между их количеством и тяжестью течения заболевания. В связи с этим можно констатировать, что именно Т-хелперы играют ведущую роль в патогенезе данного дерматоза. Частично наши выводы подтверждают результаты исследования Teraki Y. et al. (2000), где было показано, что экспрессия CLA на CD4+ T-клетках была значительно повышена у больных АД по сравнению со здоровыми лицами и больными псориазом, в то время как по экспрессии CLA на CD8+ Т-клетках существенной разницы не отмечалось [8].
Заключение
Результаты исследования подтвердили важную роль субпопуляций Т-клеток, экспрессирующих CLA, в развитии хронических дерматозов. Во всех группах (псориаз, ПЛ и АД) отмечалось повышение относительного количества позитивных по CLA Т-хелперов по сравнению со здоровыми лицами. В связи с этим требуется продолжение работы в этом направлении для выяснения причин данного явления и возможности использования при разработке новых вариантов терапии. Показана взаимосвязь тяжести клинической картины псориаза с относительным количеством экспрессирующих CLA цитотоксических Т-лимфоцитов (CLA+CD8+), а АД — позитивных по СLA Т-хелперов (CLA+CD4+). На наш взгляд, наблюдаемая прямая корреляция может иметь следующее объяснение: увеличивающийся объем поражения кожи требует привлечения большего количества Т-клеток из крови. Важным аргументом в пользу данного предположения могло бы стать доказательство уменьшения количества циркулирующих CLA+CD8+ и CLA+CD4+-клеток в процессе лечения.
Ограничения исследования
Следует отметить небольшой объем контрольной группы (20 человек). Поэтому для окончательного решения вопроса о референсном интервале субпопуляций CLA+ T-лимфоцитов рекомендуется проведение дополнительных исследований на аналогичном оборудовании с включением большего количества здоровых контролей.
Источник финансирования. Исследование выполнено за счет целевого финансирования в рамках проведения научно-исследовательской работы, утвержденной Главным военно-медицинским управлением.
About the authors
Alexander V. Patrushev
Military medical academy of S.M. Kirov
Author for correspondence.
Email: alexpat2@yandex.ru
ORCID iD: 0000-0002-6989-9363
SPIN-code: 1367-5580
ассистент кафедры кожных и венерических болезней
РоссияAlexey V. Samtsov
Military medical academy of S.M. Kirov
Email: avsamtsov@mail.ru
SPIN-code: 2287-5062
заведующий кафедрой кожных и венерических болезней ФГБВОУ ВО «Военно-медицинская академия им. С.М.Кирова» МО РФ
Россия, 194044, Россия, г. Санкт-Петербург, ул. Академика Лебедева, д.6Vladimir Yu. Nikitin
Military medical academy of S.M. Kirov
Email: vladimiryn@mail.ru
SPIN-code: 7208-4388
заведующий иммунологической лабораторией центра клинической лабораторной диагностики ФГБВОУ ВО «Военно-медицинская академия им. С.М. Кирова» МО РФ
Россия, 194044, Россия, г. Санкт-Петербург, ул. Академика Лебедева, д.6Alexey V. Soukharev
Military medical academy of S.M. Kirov
Email: asoukharev@mail.ru
SPIN-code: 6990-7730
профессор кафедры кожных и венерических болезней ФГБВОУ ВО «Военно-медицинская академия им. С.М.Кирова» МО РФ
Россия, 194044, Россия, г. Санкт-Петербург, ул. Академика Лебедева, д.6Oksana P. Gumilevskaya
Military medical academy of S.M. Kirov
Email: ogum@mail.ru
SPIN-code: 6705-0309
начальник центра клинической лабораторной диагностики ФГБВОУ ВО «Военно-медицинская академия им. С.М. Кирова» МО РФ
Россия, 194044, Россия, г. Санкт-Петербург, ул. Академика Лебедева, д.6Irina A. Sukhina
Military medical academy of S.M. Kirov
Email: kinya2000@mail.ru
SPIN-code: 5606-4874
преподаватель кафедры клинической биохимии и лабораторной диагностики ФГБВОУ ВО «Военно-медицинская академия им. С.М. Кирова» МО РФ
Россия, 194044, Россия, г. Санкт-Петербург, ул. Академика Лебедева, д.6References
- Knibbs RN, Craig RA, Natsuka S, Cameron M, Lowe JB, Stoolman LM. The fucosyltransferase FucT-VII regulates E-selectin ligand synthesis in human T cells. J Cell Biol. 1996;133:911–920. doi: 10.1083/jcb.133.4.911
- Fuhlbrigge RC, Kieffer JD, Armerding D, Kupper TS. Cutaneous lymphocyte antigen is a specialized form of PSGL-1 expressed on skin-homing T cells. Nature. 1997;389:978–981. doi: 10.1038/40166
- Picker LJ, Michie SA, Rott LS, Butcher EC. A Unique Phenotype of Skin-associated Lymphocytes in Humans. Am J Pathol. 1990;136(5): 1053–1068.
- Picker LJ, Treer JR, Ferguson-Darnell B, Collins PA, Bergstresser PR, Terstappen LW. Control of lymphocyte recirculation in man. II. Differential regulation of the cutaneous lymphocyte-associated antigen, a tissue-selective homing receptor for skin-homing T cells. J Immunol. 1993;150:1122–1136.
- Robert C, Kupper TS. Inflammatory skin diseases, T cells, and immune surveillance. N Engl J Med. 1999;341(24):1817–1828.
- Патрушев А.В., Самцов А.В., Сухарев А.В., Минченко А.А., Мамунов М.В. Новый индекс для оценки тяжести течения плоского лишая в клинической практике. Вестник дерматологии и венерологии. 2020;96(3):27–33. doi.org/10.25208/vdv1145 [Patrushev AV, Samcov AV, Suharev AV, Minchenko AA, Mamunov MV. New index for assessing the severity of lichen planus in clinical practice. Vestnik dermatologii i venerologii. 2020;96(3):27–33. (In Russ.)]
- Rahman P, Elder JT. Genetics of psoriasis and psoriatic arthritis: a report from the GRAPPA 2010 annual meeting. J Rheumatol. 2012;39(2):431–433. doi: 10.3899/jrheum.111242
- Nair RP, Stuart PE, Nistor I, Hiremagalore R, Chia NV, Jenisch S, et al. Sequence and haplotype analysis supports HLA-C as the psoriasis susceptibility 1 gene. Am J Hum Genet. 2006;78:827–851.doi: 10.1086/503821
- Teraki Y, Hotta T, Shiohara T. Increased circulating skin-homing cutaneous lymphocyte-associated antigen (CLA)1 type 2 cytokine-producing cells, and decreased CLA1 type 1 cytokine-producing cells in atopic dermatitis. Br J Dermatol. 2000;143:373–378.doi: 10.1046/j.1365-2133.2000.03665.x.
Supplementary files












