Efficacy and safety of netakimab, a novel anti-IL-17 monoclonal antibody, in patients with moderate to severe plaque psoriasis. Results of a 54-week randomized double-blind placebo-controlled PLANETA clinical trial
- Authors: Puig L.1, Bakulev A.L.2, Kokhan M.M.3, Samtsov A.V.4, Khairutdinov V.R.4, Morozova M.A.5, Zolkin N.A.5, Kuryshev I.V.5, Petrov A.N.5, Artemeva A.V.5, Zinkina-Orikhan A.V.5
-
Affiliations:
- Hospital de Sant Pau
- Saratov State Medical University
- Ural Research Institute of Dermatovenereology and Immunopathology
- S.M. Kirov Military Medical Academy
- JSC BIOCAD
- Issue: Vol 97, No 4 (2021)
- Pages: 80-91
- Section: ORIGINAL STUDIES
- Submitted: 22.06.2021
- Accepted: 23.08.2021
- Published: 30.10.2021
- URL: https://vestnikdv.ru/jour/article/view/1251
- DOI: https://doi.org/10.25208/vdv1251
- ID: 1251
Cite item
Full Text
Abstract
Background. Netakimab (NTK), an original humanized anti-interleukin-17 monoclonal antibody, showed therapeutic efficacy in moderate to severe plaque psoriasis in a phase 2 clinical study. Herein we report the results of 54 weeks of a phase 3 trial.
Aim. To evaluate the efficacy and safety of two NTK regimens vs. placebo in moderate to severe plaque psoriasis.
Methods. PLANETA is the ongoing randomized double-blind placebo-controlled clinical trial. 213 patients with moderate to severe plaque psoriasis were randomly assigned to receive NTK 120 mg once every 2 weeks (NTK Q2W), NTK 120 mg once every 4 weeks (NTK Q4W) or placebo. During the first 3 weeks, patients received subcutaneous injections of NTK or placebo (according to the allocation) once a week. Patients in the NTK Q2W group then received NTK at weeks 4, 6, 8, and 10. Subjects in the NTK Q4W group received NTK at weeks 6 and 10 and placebo at weeks 4 and 8. Patients in the placebo group received placebo injections at weeks 4, 6, 8, and 10. Treatment was unblinded at week 12. During the open-label phase, patients in both NTK groups continued to receive NTK Q4W. The primary efficacy endpoint was the proportion of patients in each group who achieved a 75% or greater reduction from baseline in psoriasis area and severity index (PASI 75) at week 12.
Results. A total of 77.7%, 83.3%, and 0% of patients had a PASI 75 response at week 12 in the NTK Q2W, NTK Q4W, and placebo groups, respectively (P < 0.0001, Fisher’s exact test, ITT). The effect was maintained throughout the 1-year treatment. NTK showed a good safety profile and low immunogenicity.
Conclusion. Treatment with NTK results in high rates of sustained clinical response in patients with moderate to severe plaque psoriasis. The study is ongoing; thus, long-term use efficacy and safety data are forthcoming.
Full Text
Обоснование
Псориаз — это хроническое заболевание с преимущественным поражением кожи, ассоциированное с рядом сопутствующих патологий. Симптомы могут варьировать от легких — в виде единичных локальных очагов на коже — до тяжелых, поражающих значительный процент поверхности тела. Псориаз может оказывать серьезное влияние на социальную активность и качество жизни пациента.
В 2012 г. были впервые опубликованы данные о ключевой роли интерлейкина-17 (ИЛ-17) в иммунопатогенезе псориаза, что позволило рассматривать блокаду сигнального пути ИЛ-17 как одну из опций терапии данного заболевания [1].
Нетакимаб — это новое рекомбинантное гуманизированное моноклональное антитело к ИЛ-17, представляющее собой иммуноглобулин подкласса G1 (IgG1) с модифицированными Fc-фрагментом и CDR-регионами. В исследованиях 2-й фазы у пациентов со среднетяжелым и тяжелым бляшечным псориазом (NCT02762994) и у пациентов с анкилозирующим спондилитом (NCT02763111) было продемонстрировано превосходство нетакимаба в дозе 120 мг над плацебо [2, 3].
Цель исследования: целью исследования PLANETA является оценка эффективности и безопасности двух режимов дозирования нетакимаба, 1 раз в 2 недели и 1 раз в 4 недели, в сравнении с плацебо у пациентов со среднетяжелым и тяжелым бляшечным псориазом. В данной статье представлены результаты анализа данных 1 года исследования.
Методы
Дизайн исследования
PLANETA — продолжающееся международное многоцентровое двойное слепое плацебо-контролируемое клиническое исследование 3-й фазы, проводимое в соответствии с Хельсинкской декларацией и принципами надлежащей клинической практики.
Критерии соответствия
В исследование включены пациенты в возрасте от 18 лет и старше с подтвержденным диагнозом среднетяжелого и тяжелого бляшечного псориаза, длительностью не менее 6 месяцев, которым показана фототерапия или системная терапия или получившие по крайней мере один курс такой терапии, с площадью поверхности тела, пораженной псориазом (BSA, Body surface area) ≥10%, оценкой распространенности и тяжести псориаза по индексу PASI (Psoriasis Area and Severity Index) ≥10 баллов, общей оценкой тяжести псориаза врачом по шкале sPGA (static Physician Global Assessment) ≥3 баллов на момент скрининга. В исследование не включались пациенты с другими формами псориаза (например, псориатическая эритродермия, пустулезный псориаз, каплевидный псориаз) или любыми другими заболеваниями кожи (например, экзема), получавшие моноклональные антитела к ИЛ-17 или его рецепторам либо получавшие более одного препарата моноклональных антител или их фрагментов. Применение любого препарата моноклональных антител следовало прекратить не позднее чем за 12 недель, системную терапию и фототерапию — не позднее чем за 4 недели, применение топических препаратов — не позднее чем за 2 недели до подписания информированного согласия (ИС).
Всем пациентам во время скрининга были выполнены рентгенография органов грудной клетки и анализ на туберкулез (T-SPOT.TB/QuantiFERON-TB Gold/туберкулиновая проба). При получении сомнительного результата теста проводилась консультация фтизиатра. При исключении активной/латентной инфекции пациент мог быть включен в исследование.
Пациентов, соответствующих критериям отбора, стратифицировали по массе тела (<100 кг/≥100 кг), предшествующей терапии псориаза с применением препаратов моноклональных антител (ранее получавшие/не получавшие), величине PASI (<20/≥20) и наличию псориатического артрита (отсутствие/наличие), после чего пациентов рандомизировали в соотношении 2:2:1 в три группы терапии: нетакимаб в дозе 120 мг 1 р/2 нед. (группа нетакимаб Q2W), нетакимаб в дозе 120 мг 1 р/4 нед. (группа нетакимаб Q4W) или плацебо. Рандомизацию выполняли с помощью централизованной электронной системы рандомизации с использованием последовательности случайных чисел. Данные по распределению в группы терапии были заслеплены в течение первых 12 недель для исследователей, исследовательской команды и пациентов.
До начала процедур исследования всем пациентам было предоставлено достаточное количество времени для ознакомления с информацией об исследовании, они получили ответы на свои вопросы, добровольно и без принуждения дали согласие на участие в данном исследовании и подписали форму информированного согласия.
Условия проведения
Исследование проводится в 24 исследовательских центрах на территории Российской Федерации и Республики Беларусь. Каких-либо специфических факторов (социальных, экономических, культурных), способных повлиять на внешнюю обобщаемость выводов исследования, выявлено не было. Список исследовательских центров представлен.
Продолжительность исследования
Основной период терапии включал заслепленную фазу (недели 0–12), после которой следовала открытая фаза вплоть до недели 54. Впоследствии исследование было продлено до 3 лет.
Описание медицинского вмешательства
В течение первых 3 недель все пациенты получили подкожные инъекции нетакимаба или плацебо (в соответствии с распределением) 1 р/нед. (фаза индукции). После этого пациенты в группе нетакимаб Q2W получили исследуемый препарат на неделях 4, 6, 8 и 10. Для сохранения заслепления участники в группе нетакимаб Q4W получили препарат на неделях 6 и 10 и плацебо на неделях 4 и 8. Пациенты в группе плацебо получили инъекции плацебо на неделях 4, 6, 8 и 10.
На неделе 12 терапия была расслеплена. В открытой фазе пациенты двух групп нетакимаба продолжили получать исследуемый препарат 1 р/4 нед. (группы нетакимаб Q2W/Q4W и нетакимаб Q4W). Пациенты, получавшие плацебо, были переведены на активную терапию: им были выполнены инъекции нетакимаба на неделях 12, 13 и 14 (индукция) и затем 1 р/4 нед. в течение недель 18–50 (группа плацебо/НТК Q4W). После последней инъекции исследуемого препарата пациентов наблюдали на протяжении 4 недель.
Анализируемый препарат вводили в виде двух подкожных инъекций (1,0 мл, содержащий 60 мг НТК), плацебо — в виде двух неотличимых подкожных инъекций (1,0 мл каждая).
Исходы исследования
Первичной конечной точкой эффективности была доля пациентов, достигших снижения PASI не менее чем на 75% от исходного уровня (PASI 75) на неделе 12. Вторичные конечные точки включали оценку следующих параметров: доля пациентов, достигших PASI 75 на неделях 8, 16, 24, 42 и 52, PASI 90 и PASI 100 на неделях 8, 12, 16, 24, 42 и 52; изменение PASI от исходного уровня, доля пациентов с оценкой sPGA 0/1 и sPGA 0 на неделях 8, 12, 16, 24, 42 и 52; доля пациентов с дерматологическим индексом качества жизни (DLQI, Dermatology Life Quality Index) 0 или 1 на неделях 24, 42 и 52; а также изменение от исходного уровня выраженности зуда (оцениваемой по визуальной аналоговой шкале [ВАШ], 0–100 мм) на неделях 1, 12, 24 и 52, индекса для оценки тяжести псориатического поражения ногтевых пластин (NAPSI, Nail Psoriasis Severity Index) на неделях 12, 24 и 52 и DLQI на неделях 8, 12, 24, 42 и 52.
В анализ безопасности были включены все данные, полученные после первой инъекции нетакимаб/плацебо. Нежелательные явления регистрировали согласно критериям Common Terminology Criteria for Adverse Events (СТСАЕ 4.03) [4].
Образцы крови для анализа иммуногенности были забраны до введения первой дозы нетакимаб/плацебо, далее на неделях 12, 24, 54. Образцы анализировали с помощью валидированного метода твердофазного иммуноферментного анализа (тИФА). В случае выявления связывающих антител к НТК проводился тест на антитела, обладающие нейтрализующей активностью. Конечной точкой оценки иммуногенности была доля пациентов со связывающими/нейтрализующими антителами на неделях 12, 24 и 54.
Этическая экспертиза
Проведение исследования было одобрено главными регуляторными органами Российской Федерации и Республики Беларусь. Также проведение исследования одобрено этическими комитетами каждого из участвующих в нем исследовательских центров.
Исследование зарегистрировано в системе Национальных институтов здравоохранения США (ClinicalTrials.gov; NCT03390101).
Статистический анализ
Принципы расчета размера выборки:
Данное исследование тестировало три гипотезы. Основная гипотеза исследования устанавливала не меньшую эффективность режима дозирования нетакимаба 1 р/4 нед. (Q4W) по сравнению с режимом 1 р/2 нед. (Q2W) при уровне значимости 0,05. Вторая и третья гипотезы устанавливали превосходство нетакимаба над плацебо при использовании режимов дозирования Q4W и Q2W, соответственно, каждая при уровне значимости 0,05. Для расчета объема выборки использовали литературные данные об эффективности иксекизумаба у пациентов со среднетяжелым и тяжелым бляшечным псориазом [5]. Предполагалось, что на неделе 12 частота ответа PASI 75 составит 89,1% и 82,6% в группах нетакимаб Q2W и нетакимаб Q4W соответственно, объем выборки 154 пациента (по 77 пациентов в каждой из групп НТК) обеспечивал бы примерно 80% мощность для демонстрации не меньшей эффективности при границе 20,38% и частоте ошибки I рода 5%. Граница не меньшей эффективности была рассчитана как 0,25 от верхней границы 95% доверительного интервала (ДИ) [81,51%; 88,89%] различия между предполагаемой частотой ответа PASI 75 на неделе 12 в группах нетакимаб Q2W и плацебо при допущении частоты ответа в группе плацебо 3,9%. Кроме того, объем выборки 193 пациента (по 77 пациентов в каждой из групп нетакимаба и 39 — соответственно в группе плацебо) обеспечивал бы более чем 80% мощность для демонстрации превосходства препарата над плацебо в каждой группе при границе 0% и частоте ошибки I рода 5%. При потенциальной частоте преждевременного прекращения участия в исследовании 10% в исследование необходимо включить 213 пациентов.
Методы статистического анализа данных
Статистическая обработка данных производилась с использованием программной среды SAS 9.4 и языка программирования для статистической обработки данных R.
Статистический анализ проводили с использованием 2-сторонних критериев для проверки гипотезы. Уровень значимости был установлен как 0,05.
Проверка данных на нормальность проводилась с помощью критерия Шапиро — Уилка. Данные, распределенные по нормальному закону, анализировали с помощью двухвыборочного t-критерия Стьюдента и дисперсионного анализа. Данные, распределенные по закону, отличному от нормального, анализировали с помощью критериев Манна — Уитни, Вилкоксона, Краскела — Уоллиса и Фридмана. В случае множественных сравнений применяли поправку Беньямини — Йекутили. Категориальные данные обрабатывали с помощью таблиц частот, точного критерия Фишера и критерия хи-квадрат Пирсона.
Статистические гипотезы тестировали в два этапа:
- Гипотезы превосходства групп нетакимаб Q2W и нетакимаб Q4W над группой плацебо.
- Гипотеза не меньшей эффективности режимов дозирования нетакимаб Q4W и нетакимаб Q2W.
Статистическое сравнение всех вторичных конечных точек эффективности выполняли в группах нетакимаб Q2W/Q4W и нетакимаб Q4W. Вторичные конечные точки эффективности в группе плацебо/нетакимаб Q4W оценивали с помощью описательной статистики, так как сравнение с группами нетакимаб Q2W/Q4W и нетакимаб Q4W было нецелесообразным из-за разной продолжительности лечения анализируемым препаратом.
Анализы эффективности и безопасности выполняли в популяции ITT, которая включила всех рандомизированных в исследование пациентов (n = 213). В дихотомических конечных точках, определяемых по наличию ответа на лечение, отсутствие данных по ответу на лечение во время визита после исходного уровня регистрировали как «отсутствие ответа». К непрерывным конечным точкам не применяли правила подстановки отсутствующих данных.
Результаты
Участники исследования
С декабря 2017 г. (дата первого визита) до июня 2019 г. (дата завершения анализируемого периода последним участником) в общей сложности было рандомизировано 213 пациентов: в группу нетакимаб Q2W (n = 85), группу нетакимаб Q4W (n = 84), группу плацебо (n = 44), 201 пациент завершил 54-недельный период исследования, 12 участников прекратили лечение. Причины досрочного прекращения участия в исследовании: нежелательные явления, беременность, отзыв информированного согласия, потеря для последующего наблюдения (рис. 1).
Рис. 1. Блок-схема распределения пациентов ИС: информированное согласие; НТК: нетакимаб; Q2W: 1 р/2 нед; Q4W: 1 р/4 нед; НЯ: нежелательные явления.
Исходные демографические и клинические характеристики были сопоставимы в трех группах. Медиана возраста пациентов составила 42 года, 41,5 года и 39 лет в группах нетакимаб Q2W/Q4W, нетакимаб Q4W и плацебо/Q4W соответственно. Все пациенты принадлежали к европеоидной расе. Медиана продолжительности заболевания составила 100–120 месяцев. Предшествующее лечение включало фототерапию, системные/местные кортикостероиды, иммуносупрессанты. Отмечались различия по частоте применения системной терапии (более частое применение метотрексата в группе плацебо/нетакимаб Q4W), расцененные как несущественные, так как все соответствующие критериям отбора пациенты не получали системную терапию на протяжении по крайней мере 4 недель до подписания ИС (табл. 1).
Таблица 1. Исходные демографические и клинические характеристики пациентов (N = 213)
Table 1. Baseline demographics and clinical characteristics (N = 213)
Переменная | НТК Q2W/Q4W (n = 85) | НТК Q4W (n = 84) | Плацебо/НТК Q4W (n = 44) |
Возраст, годы | 42 [35–49] | 41,5 [32–53] | 39 [33–53] |
ИМТ, кг/м2 | |||
Мужской пол* | 63 (74,1) | 58 (69,1) | 35 (79,6) |
Продолжительность заболевания, месяцы | 120 [36–204] | 111 [36–183] | 100 [34–193] |
BSA, % | |||
Значение PASI | |||
Значение NAPSI | 7 [0–29] | 14 [2–28] | 14 [0–37] |
Значение sPGA | 3 [3–4] | 4 [3–4] | 4 [3–4] |
Зуд (ВАШ, мм) | 47 [27–67] | 48 [27–71] | 45,5 [23–70] |
Значение DLQI | 13 [10–20] | 13 [9–18] | 15 [9–20] |
Медикаментозный анамнез | |||
Моноклональные антитела и ингибиторы JAK* | 5 (5,9%) | 6 (7,1%) | 1 (2,3%) |
Системные иммуносупрессанты* | 22 (25,9%) | 29 (34,5%) | 21 (47,7%) |
Кортикостероиды* | 23 (27,1%) | 32 (38,1%) | 16 (36,4%) |
Фототерапия* | 47 (55,3%) | 50 (59,5%) | 30 (68,2%) |
В таблице представлены медиана и интерквартильный размах, кроме переменных, помеченных *, для которых представлено количество (%).
НТК, нетакимаб; Q2W, 1 р/2 нед, Q4W, 1 р/4 нед; ИМТ, индекс массы тела; BSA (Body surface area), площадь поверхности тела, пораженной псориазом; DLQI (Dermatology Life Quality Index), дерматологический индекс качества жизни; JAK, Янус-киназа; NAPSI (Nail Psoriasis Severity Index), индекс тяжести псориаза ногтей; PASI (Psoriasis Area and Severity Index), индекс распространенности и тяжести псориаза; sPGA (static Physician Global Assessment), статическая общая оценка врачом; ВАШ, визуальная аналоговая шкала.
Median and interquartile range are presented except variables marked with * where no. (%) is presented.
NTK, netakimab; Q2W, once every 2 weeks, Q4W, once every 4 weeks; BMI, body mass index; BSA, body surface area; DLQI, Dermatology Life Quality Index; JAK, Janus kinase; NAPSI, Nail Psoriasis Severity Index; PASI, Psoriasis Area and Severity Index; sPGA, static Physician Global Assessment; VAS, visual analogue scale.
Основные результаты исследования
В общей сложности PASI 75 на неделе 12 достигли 77,7% пациентов в группе нетакимаб Q2W и 83,3% пациентов в группе нетакимаб Q4W по сравнению с 0% в группе плацебо. Различия долей пациентов, достигших первичной конечной точки, составили 77,7% (нетакимаб Q2W в сравнении с плацебо) при 95% ДИ 67,07–88,23% (Р < 0,0001) и 83,3% (нетакимаб Q4W в сравнении с плацебо) при 95% ДИ 73,63–93,03% (Р < 0,0001). Нижняя граница 95% ДИ для групп нетакимаб Q4W и нетакимаб Q2W (73,63 и 67,07% соответственно) превышает предел превосходства (0%). Таким образом, эффективность обоих режимов дозирования анализируемого лекарственного препарата превосходила эффективность плацебо.
Различие по частоте достижения PASI 75 на неделе 12 между группами нетакимаб Q4W и нетакимаб Q2W составило 5,63% при 95% ДИ –7,41–18,78% (P = 0,4603). Нижняя граница 95% ДИ (–7,41%) не превышает заранее заданный предел –20,38%. Таким образом, эффективность режима дозирования нетакимаб Q4W была не меньше эффективности режима дозирования данного препарата в группе Q2W.
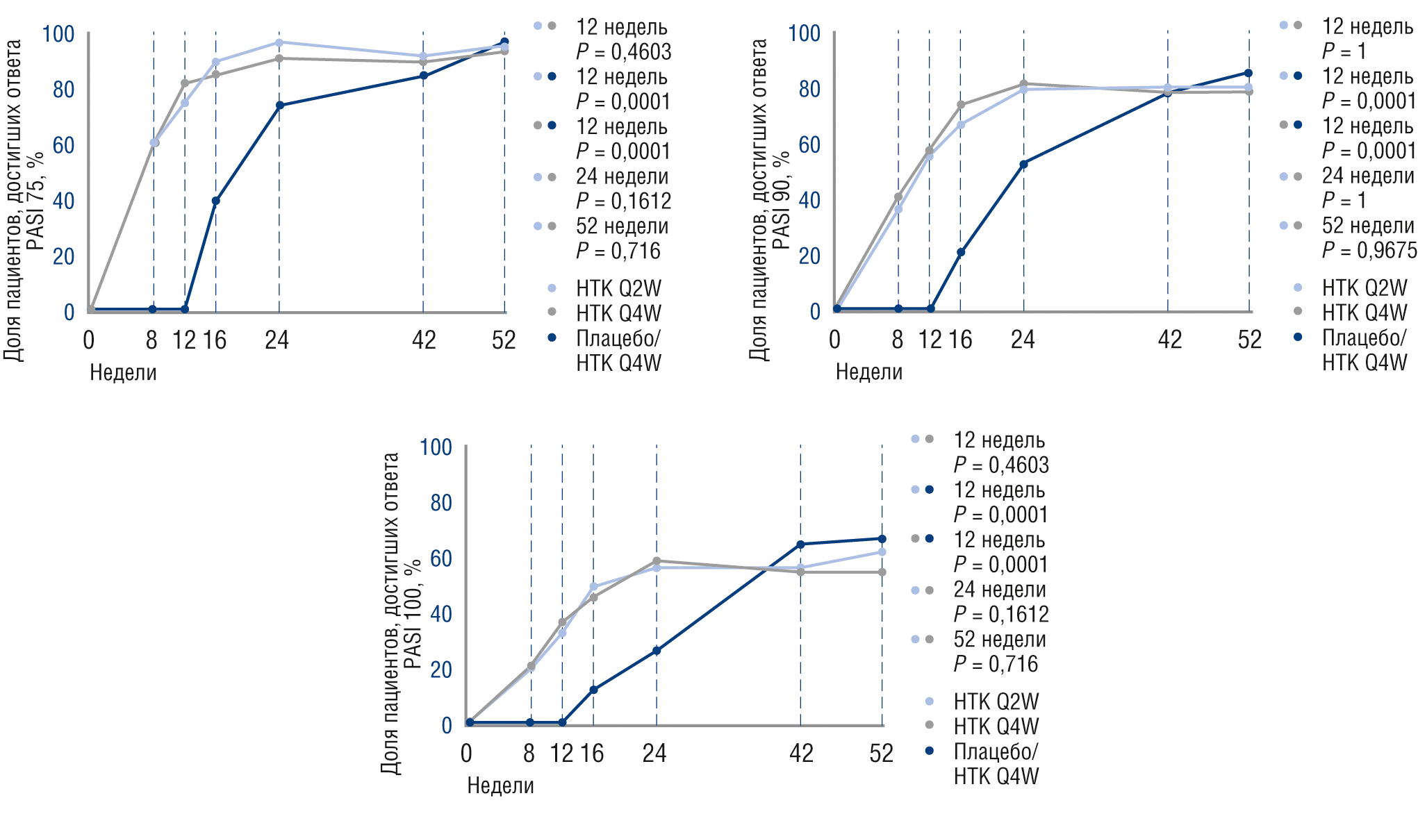
В течение первых 12 недель лечения и впоследствии (когда режим дозирования нетакимаб Q4W применяли в обеих группах) доли пациентов, достигших PASI 75/90/100 и относительного изменения PASI по сравнению с исходным уровнем, не отличались в группах нетакимаба Q2W и Q4W. Большинство пациентов достигли PASI 75 уже через 8 недель терапии (58,8 и 59,5% в группах Q2W и Q4W соответственно). К неделе 52 PASI 75 достигли 94,1 и 92,9% пациентов, PASI 90 — 78,8 и 77,4% пациентов, PASI 100 — 61,2 и 56,0% пациентов в группах нетакимаб Q2W/Q4W и нетакимаб Q4W соответственно. Статистически значимых различий между двумя группами на протяжении всего анализируемого периода не выявлено (P > 0,05) (рис. 2).
Рис. 2. Оценка эффективности терапии нетакимабом (ITT)НТК: нетакимаб; Q2W: 1 р/2 нед; Q4W: 1 р/4 нед; PASI (Psoriasis Area and Severity Index), индекс распространенности и тяжести псориаза. ITT: принцип анализа в зависимости от назначенного лечения.
В первой временной точке оценки (неделя 8) 56,5 и 60,7% пациентов имели «чистую или почти чистую кожу» (sPGA 0 или 1), а 48,2 и 45,2% (неделя 16) имели «чистую кожу» (sPGA 0) в группах нетакимаба Q2W и Q4W соответственно (P > 0,05). На неделе 52 значения sPGA 0 или 1 достигли 84,7 и 85,7% пациентов, а значения sPGA 0 — 61,2 и 58,3% пациентов в группах нетакимаб Q2W/Q4W и нетакимаб Q4W соответственно (P > 0,05).
Уже на первой неделе лечения пациенты в обеих группах нетакимаба отмечали уменьшение выраженности зуда; эффект сохранялся на протяжении 1 года лечения. Применение данного препарата, независимо от режима дозирования, обеспечило значимое уменьшение псориатического поражения ногтей, оцененного по индексу NAPSI. На фоне лечения продемонстрировано значимое уменьшение влияния псориаза на качество жизни, оцениваемое по DLQI. К неделе 52 значения DLQI 0 или 1 (отсутствие влияния на качество жизни) достигли 69,4% пациентов в группе нетакимаб Q2W/Q4W и 69,1% пациентов в группе нетакимаб Q4W (табл. 2).
Таблица 2. Основные конечные точки эффективности
Table 2. Main efficacy endpoints
Переменная | Неделя | Группа | Значение Р | |||
НТК Q2W/Q4W (n = 85) | НТК Q4W (n = 84) | |||||
n | % | n | % | |||
PASI 75 | 8 | 50 | 58,8 | 50 | 59,5 | 1,00001 |
12 | 66 | 77,7 | 70 | 83,3 | 0,46031 | |
52 | 80 | 94,1 | 78 | 92,9 | 0,7662 | |
PASI 90 | 8 | 31 | 36,5 | 33 | 39,3 | 0,59291 |
12 | 47 | 55,3 | 47 | 56,0 | 1,00001 | |
52 | 67 | 78,8 | 65 | 77,4 | 0,96751 | |
PASI 100 | 8 | 16 | 18,8 | 16 | 19,1 | 1,00001 |
12 | 25 | 29,4 | 28 | 33,3 | 0,70131 | |
52 | 52 | 61,2 | 47 | 56,0 | 0,59391 | |
sPGA 0–1 | 8 | 48 | 56,5 | 51 | 60,7 | 0,68641 |
12 | 69 | 81,2 | 67 | 79,8 | 0,96981 | |
52 | 72 | 84,7 | 72 | 85,7 | 1,00001 | |
sPGA 0 | 16 | 41 | 48,2 | 38 | 45,2 | 0,81321 |
52 | 52 | 61,2 | 49 | 58,3 | 0,82591 | |
DLQI 0 или 1 | 24 | 58 | 68,2 | 57 | 67,9 | 1,00001 |
52 | 59 | 69,4 | 58 | 69,1 | 1,00001 | |
1 Критерий хи-квадрат с поправкой Йетса.
2 Точный критерий Фишера.
НТК, нетакимаб; Q2W, 1 р/2 нед, Q4W, 1 р/4 нед; DLQI (Dermatology Life Quality Index), дерматологический индекс качества жизни; PASI (Psoriasis Area and Severity Index), индекс распространенности и тяжести псориаза; sPGA (static Physician Global Assessment), статическая общая оценка врачом.
1 Yates-corrected chi-squared test.
2 Fisher’s exact test.
NTK, netakimab; Q2W, once every 2 weeks, Q4W, once every 4 weeks; DLQI, Dermatology Life Quality Index; PASI, Psoriasis Area and Severity Index; sPGA, static Physician Global Assessment; VAS, visual analogue scale.
У пациентов в группе плацебо/Q4W уменьшение выраженности клинических проявлений псориаза наблюдалось уже после 4 недель терапии нетакимабом, выраженность эффекта нарастала до недели 52. К неделе 52 PASI 75/90/100 достигли 95,5, 81,8 и 65,9% пациентов соответственно, а значения sPGA 0 — 70,5% пациентов (рис. 2). Такое же значимое улучшение наблюдалось в выраженности зуда (медиана изменения от исходного уровня составила –10, –37,5 и –37 на неделях 12, 24 и 52 соответственно, P < 0,0001), поражении ногтей (медиана изменения от исходного уровня значения NAPSI составила 0, –11 и –19 на неделях 12, 24 и 52 соответственно, P < 0,0001) и качества жизни (50, 50 и 68,2% пациентов достигли значения DLQI 0 или 1 на неделях 24, 42 и 52 соответственно).
Нежелательные явления
На фоне терапии на протяжении плацебо-контролируемого периода нежелательные явления были зарегистрированы у 17,7, 16,7 и 18,2% пациентов в группах нетакимаб Q2W, нетакимаб Q4W и плацебо соответственно (P > 0,05). Нежелательные явления, связанные с терапией, зарегистрированы у 9,4, 10,7 и 6,8% пациентов в тех же группах (P > 0,05).
Результаты оценки безопасности в группах НТК Q2W/Q4W и НТК Q4W
В течение 54 недель нежелательные явления наблюдались у 40,0 и 40,5% пациентов, в том числе 3–4-й степени тяжести — у 4,7 и 2,4% пациентов в группах нетакимаб Q2W/Q4W и нетакимаб Q4W соответственно (P > 0,05). Два пациента (2,4%) в группе нетакимаб Q2W/Q4W и один пациент (1,2%) в группе нетакимаб Q4W были исключены из исследования по причине нежелательного явления «положительный результат анализа на туберкулез», которое было расценено как не связанное с исследуемой терапией. Впоследствии диагноз активного туберкулеза не подтвердился.
В общей сложности у 5% или более пациентов были выявлены гиперхолестеринемия, нейтропения, гипербилирубинемия и инфекции верхних дыхательных путей. Наиболее частые связанные с терапией НЯ были представлены нейтропенией. НЯ были преимущественно легкими или умеренными (степень 1–2). Тяжелые связанные с терапией НЯ были следующими (по одному случаю каждое): нейтропения 3-й степени, нейтропения 4-й степени и лимфопения 3-й степени. Единственным связанным с терапией серьезным нежелательным явлением было развитие пневмонии 3-й степени тяжести, послужившее причиной госпитализации, в группе нетакимаб Q4W. Через два дня после третьей инъекции нетакимаба у пациента повысилась температура до субфебрильных цифр, появился кашель; пациент был госпитализирован. На основании результатов физикального обследования и рентгенографии органов грудной клетки был установлен диагноз нижнедолевой пневмонии. Пациент получал терапию цефтриаксоном в течение недели, выздоровел и продолжил участие в исследовании.
Результаты оценки безопасности в группе плацебо/НТК Q4W
С недели 13 по неделю 54 нежелательные явления были зарегистрированы у 50% пациентов; у 15,9% пациентов наблюдались нежелательные явления 3–4-й степени тяжести. Наиболее частыми нежелательными явлениями были: гиперхолестеринемия (4,6%), нейтропения (6,8%) и инфекции верхних дыхательных путей (4,6%). У двух пациентов отмечены серьезные нежелательные явления, не связанные с терапией анализируемым препаратом. У одного пациента с артериальной гипертензией, сахарным диабетом 2-го типа и ожирением имело место усугубление артериальной гипертензии, которое привело к госпитализации. Второй пациент прекратил лечение по причине развития сахарного диабета 2-го типа и обморока.
Связанные с терапией нежелательные явления были представлены нейтропенией, инфекциями, гипербилирубинемией, повышением уровня аспартатаминотрансферазы (АСТ) и аланинаминотрансферазы (АЛТ), гиперхолестеринемией, дерматитом. Тяжелые связанные с терапией нежелательные явления были представлены единичными случаями нейтропении и повышения уровня АЛТ степени 3 (табл. 3). Все связанные с терапией нежелательные явления были ожидаемыми.
Таблица 3. Резюме данных по безопасности
Table 3. Summary of safety data
Показатель | НТК Q2W/Q4W (n = 85) | НТК Q4W (n = 84) | Плацебо/НТК Q4W (n = 44) | НТК Q2W/Q4W (n = 85) | НТК Q4W (n = 84) | Плацебо/НТК Q4W (n = 44) | ||||||||||||
n | % | количество случаев/ 100 пациенто-лет | n | % | количество случаев/ 100 пациенто-лет | n | % | количество случаев/ 100 пациенто-лет | n | % | количество случаев/ 100 пациенто-лет | n | % | количество случаев/ 100 пациенто-лет | n | % | количество случаев/ 100 пациенто-лет | |
Недели 0–12 | Недели 0–54 | Недели 13–54 | ||||||||||||||||
Все НЯ | 17,0 | 20 | 86,6 | 15 | 16,7 | 66,9 | 9 | 20,5 | 89,5 | 34 | 40,0 | 38,9 | 34 | 40,5 | 40,2 | 22 | 50,0 | 64,0 |
Тяжелые НЯ (степень 3–4) | 1,0 | 1,2 | 5,1 | 1 | 1,2 | 4,5 | 1 | 2,3 | 9,9 | 4 | 4,7 | 4,6 | 2 | 2,4 | 2,4 | 7 | 15,9 | 20,4 |
СНЯ | 0 | 0 | 0 | 1 | 1,2 | 4,5 | 0 | 0 | 0,0 | 0 | 0 | 0 | 1 | 1,2 | 1,2 | 2 | 4,6 | 5,8 |
Досрочное прекращение участия в исследовании вследствие НЯ | 2 | 2,4 | 2,3 | 1 | 1,2 | 1,2 | 1 | 2,3 | 2,9 | |||||||||
Тяжелые НЯ (степень 3–4) | ||||||||||||||||||
Нейтропения | 2 | 2,4 | 2,3 | 3 | 6,8 | 8,7 | ||||||||||||
Лимфопения | 1 | 1,2 | 1,1 | 1 | 2,3 | 2,9 | ||||||||||||
Гиперхолестеринемия | 1 | 1,2 | 1,2 | |||||||||||||||
Повышение уровня креатинина | ||||||||||||||||||
Повышение уровня АСТ | 1 | 1,2 | 1,1 | |||||||||||||||
Повышение уровня АЛТ | 1 | 2,3 | 2,9 | |||||||||||||||
Гипербилирубинемия | 1 | 2,3 | 2,9 | |||||||||||||||
Токсический гепатит | 1 | 2,3 | 2,9 | |||||||||||||||
Пневмония | 1 | 1,2 | 1,2 | |||||||||||||||
Сахарный диабет | 1 | 2,3 | 2,9 | |||||||||||||||
Обморок | 1 | 2,3 | 2,9 | |||||||||||||||
Синдром алкогольной зависимости | 1 | 2,3 | 2,9 | |||||||||||||||
Гипертоническая болезнь | 1 | 2,3 | 2,9 | |||||||||||||||
НЯ, связанные с терапией | ||||||||||||||||||
Нейтропения (степень 2–4) | 4 | 4,7 | 4,6 | 4 | 4,8 | 4,7 | 3 | 6,8 | 8,7 | |||||||||
Лейкопения (степень 1–2) | 2 | 2,4 | 2,3 | 2 | 2,4 | 2,4 | ||||||||||||
Лимфопения (степень 2–3) | 2 | 2,4 | 2,3 | |||||||||||||||
Лимфоцитоз (степень 2) | 1 | 1,2 | 1,1 | |||||||||||||||
Инфекции (степень 2–3) | 4 | 4,7 | 4,6 | 3 | 3,6 | 3,5 | 3 | 6,8 | 8,7 | |||||||||
Гипербилирубинемия (степень 2) | 3 | 3,5 | 3,4 | 1 | 1,2 | 1,2 | 1 | 2,3 | 2,9 | |||||||||
Повышение уровня АСТ (степень 2) | 1 | 1,2 | 1,1 | 1 | 1,2 | 1,2 | 1 | 2,3 | 2,9 | |||||||||
Повышение уровня АЛТ (степень 2–3) | 1 | 1,2 | 1,1 | 0 | 0 | 0,0 | 1 | 2,27 | 2,9 | |||||||||
Гипергликемия (степень 2) | 1 | 1,2 | 1,1 | 2 | 2,4 | 2,4 | ||||||||||||
Гиперхолестеринемия (степень 2) | 2 | 4,6 | 5,8 | |||||||||||||||
Головокружение (степень 1) | 1 | 1,2 | 1,1 | 1 | 1,2 | 1,2 | ||||||||||||
Экзема (степень 2) | 1 | 1,2 | 1,1 | |||||||||||||||
Дерматит (степень 2) | 1 | 2,3 | 2,9 | |||||||||||||||
Боль в животе (степень 2) | 1 | 1,2 | 1,2 | |||||||||||||||
Повышение артериального давления (степень 2) | 1 | 1,2 | 1,2 | |||||||||||||||
Повышение уровней печеночных трансаминаз (степень 2) | 1 | 1,2 | 1,1 | |||||||||||||||
Тонзиллит (степень 2) | 1 | 1,2 | 1,1 | |||||||||||||||
Вирусный конъюнктивит (степень 2) | 1 | 1,2 | 1,2 | |||||||||||||||
НТК, нетакимаб; Q2W, 1 р/2 нед, Q4W, 1 р/4 нед; НЯ, нежелательное явление; АСТ, аспартатаминотрансфераза; АЛТ, аланинаминотрансфераза.
NTK, netakimab; Q2W, once every 2 weeks, Q4W, once every 4 weeks; AE: adverse event; AST: aspartataminotransferase; ALT: alaninaminotransferase.
Иммуногенность
В анализ иммуногенности включено 210 пациентов. У одного пациента (группа нетакимаб Q2W/Q4W) на неделе 12 выявлены связывающие антитела к препарату; в это время у него наблюдалось улучшение значения PASI на 52,9%. Данный пациент достиг PASI 100 на неделе 24, улучшение PASI на 94,1% сохранялось у него до недели 52. У второго пациента (группа нетакимаб Q4W) на неделе 24 выявлены связывающие антитела к препарату; в это время он достиг PASI 100, ответ сохранялся на протяжении всего анализируемого периода. Нейтрализующие антитела не обнаружены.
Обсуждение
Резюме основного результата исследования
Целью данного клинического исследования 3-й фазы была оценка эффективности и безопасности режимов дозирования нетакимаба 1 раз в 2 недели и 1 раз в 4 недели в сравнении с плацебо в течение первых 12 недель лечения и последующей оценкой эффективности и безопасности терапии анализируемым лекарственным препаратом продолжительностью 1 год у пациентов со среднетяжелым и тяжелым бляшечным псориазом.
PASI 75 считается надежным и объективным инструментом оценки эффективности биологических препаратов и часто используется в клинических исследованиях ингибиторов ИЛ-17 у пациентов с псориазом [6, 7]. В исследовании PLANETA маскирование поддерживалось на протяжении всего двойного слепого периода, а оценку эффективности лечения выполняли высококвалифицированные и опытные дерматологи. По этой причине риск ошибки при оценке исходов минимален.
Оценка первичной конечной точки продемонстрировала, что оба режима дозирования нетакимаба были значимо более эффективными по сравнению с плацебо и что на протяжении 12 недель лечения режим дозирования 1 раз в 4 недели был не менее эффективен, чем режим дозирования 1 раз в 2 недели. Анализ вторичных конечных точек эффективности не выявил значимых различий между группами терапии нетакимаб Q2W/Q4W и нетакимаб Q4W на протяжении периода лечения продолжительностью 1 год.
В группе плацебо наблюдалась очень низкая эффективность терапии — частота достижения PASI 75 на неделе 12 составила 0%. В клиническом исследовании 3-й фазы препарата иксекизумаб частота PASI 75 в группе плацебо варьировалась от 2,4 до 7,3% (7). В основных клинических исследованиях препарата секукинумаб эффект плацебо на неделе 12 по результатам оценки PASI 75 варьировался от 0 до 4,5% [6]. Опубликован систематический обзор 27 исследований, целью которого было изучение исходов терапии в группах плацебо в рандомизированных контролируемых исследованиях системных препаратов для лечения хронического бляшечного псориаза [8]. Во включенных в обзор исследованиях использовались различные показатели исхода (BSA, средний процент снижения значения PASI, снижение среднего общего балла, общая оценка исследователем и заключение исследователя). Показатели эффективности в группах плацебо были низкими в большей части исследований. Авторы обзора пришли к выводу, что эффект терапии в группах плацебо в разных исследованиях непредсказуемо варьировался в широком диапазоне значений. Таким образом, полученные в исследовании PLANETA данные по эффективности не противоречат литературным данным.
У пациентов, которые получали плацебо на протяжении первых 12 недель исследования и впоследствии были переведены на нетакимаб, улучшение клинических проявлений псориаза наблюдалось уже после 4 недель лечения активным препаратом, а выраженность эффекта увеличивалась до недели 52. После 40 недель лечения с использованием анализируемого препарата 95,5, 81,8 и 65,9% пациентов достигли PASI 75/90/100 соответственно, а 70,5% пациентов достигли значения sPGA 0. Наблюдалось значимое уменьшение выраженности зуда, поражения ногтей и улучшение качества жизни. Таким образом, наблюдаемая динамика подтверждает достоверность результатов, полученных в группах лечения нетакимаб Q2W/Q4W и нетакимаб Q4W.
Таким образом, у пациентов со среднетяжелым и тяжелым бляшечным псориазом нетакимаб 120 мг должен вводиться в режиме один раз в неделю в течение первых 3 недель с последующей частотой инъекций 1 раз в 4 недели.
Ограничения исследования
Ограничениями данного исследования можно считать довольно короткую продолжительность заболевания (приблизительно 10 лет) и низкую долю пациентов (менее 10%), получавших биологическую терапию до включения в исследование.
Заключение
Нетакимаб обеспечивал высокую частоту устойчивого клинического ответа уже на первых неделях лечения, благоприятный профиль безопасности и хорошую переносимость у пациентов со среднетяжелым и тяжелым бляшечным псориазом. В настоящее время исследование PLANETA продолжается, в течение ближайших лет будут получены дополнительные данные по эффективности и безопасности длительного применения данного лекарственного средства.
About the authors
Luis Puig
Hospital de Sant Pau
Email: LPuig@santpau.cat
ORCID iD: 0000-0001-6083-0952
MD (Hon), PhD
Испания, Sant Quinti, 89, BarcelonaAndrey L. Bakulev
Saratov State Medical University
Author for correspondence.
Email: al_ba05@mail.ru
ORCID iD: 0000-0002-1450-4942
MD, Dr. Sci. (Med.), Professor
Россия, Bolshaya Kazachia str., 112, Saratov
Muza M. Kokhan
Ural Research Institute of Dermatovenereology and Immunopathology
Email: mkokhan@yandex.ru
ORCID iD: 0000-0001-6353-6644
MD, Dr. Sci. (Med.), Professor
Россия, Shcherbakova str., 8, YekaterinburgAlexey V. Samtsov
S.M. Kirov Military Medical Academy
Email: avsamtsov@mail.ru
ORCID iD: 0000-0002-9458-0872
MD, Dr. Sci. (Med.), Professor
Россия, Akаdemika Lebedeva str. 6, Saint PetersburgVladislav R. Khairutdinov
S.M. Kirov Military Medical Academy
Email: haric03@list.ru
ORCID iD: 0000-0002-0387-5481
Dr. Sci. (Med.), assistant professor
Россия, Akаdemika Lebedeva str. 6, Saint PetersburgMaria A. Morozova
JSC BIOCAD
Email: morozovama@biocad.ru
ORCID iD: 0000-0001-7755-7526
SPIN-code: 5651-1479
MD, Cand. Sci. (Med.)
Россия, Svyazi st., 34-A, Saint Petersburg, StrelnaNikita A. Zolkin
JSC BIOCAD
Email: zolkin@biocad.ru
ORCID iD: 0000-0002-7938-710X
Россия, Svyazi st., 34-A, Saint Petersburg, Strelna
Ivan V. Kuryshev
JSC BIOCAD
Email: kuryshev@biocad.ru
ORCID iD: 0000-0001-8095-8734
Россия, Svyazi st., 34-A, Saint Petersburg, Strelna
Alexey N. Petrov
JSC BIOCAD
Email: petrovan@biocad.ru
Россия, Svyazi st., 34-A, Saint Petersburg, Strelna
Antonina V. Artemeva
JSC BIOCAD
Email: artemevaav@biocad.ru
ORCID iD: 0000-0002-5306-3377
Россия, Svyazi st., 34-A, Saint Petersburg, Strelna
Arina V. Zinkina-Orikhan
JSC BIOCAD
Email: zinkina@biocad.ru
ORCID iD: 0000-0002-8499-2232
Россия, Svyazi st., 34-A, Saint Petersburg, Strelna
References
- Zhu S, Qian Y. IL-17/IL-17 receptor system in autoimmune disease: mechanisms and therapeutic potential. Clin Sci (Lond). 2012;122(11):487–511. doi: 10.1042/CS20110496
- Erdes S, Nasonov E, Kunder E, Pristrom A, Soroka N, Shesternya P, et al. Primary efficacy of netakimab, a novel interleukin-17 inhibitor, in the treatment of active ankylosing spondylitis in adults. Clin Exp Rheumatol. 2020;38(1):27–34.
- Бакулев А.Л., Самцов А.В., Кубанов А.А., Хайрутдинов В.Р., Кохан М.М., Артемьева А.В., и др. Долгосрочная эффективность и безопасность препарата нетакимаб у пациентов со среднетяжелым и тяжелым вульгарным псориазом. Результаты открытого продленного клинического исследования II фазы BCD-085-2-ext. Вестник дерматологии и венерологии. 2019;95(3):54–64. [Bakulev AL, Samтsоv AV, Kubanov AA, Hajrutdinov VR, Kohan MM, Artem'eva AV, et al. Dolgosrochnaja jeffektivnost' i bezopasnost' preparata netakimab u pacientov so srednetjazhelym i tjazhelym vul'garnym psoriazom. Rezul'taty otkrytogo prodlennogo klinicheskogo issledovanija II fazy BCD-085-2-ext. Vestnik dermatologii i venerologii. 2019;95(3):54–64 (In Russ.)]. doi: 10.25208/0042-4609-2019-95-3-54-64
- Common Terminology Criteria for Adverse Events (CTCAE). https://evs.nci.nih.gov/ftp1/CTCAE/CTCAE_4.03/CTCAE_4.03_2010-06-14_QuickReference_8.5x11.pdf
- Farahnik B, Beroukhim K, Zhu TH, Abrouk M, Nakamura M, Singh R, et al. Ixekizumab for the Treatment of Psoriasis: A Review of Phase III Trials. Dermatol Ther (Heidelb). 2016;6(1):25–37. doi: 10.1007/s13555-016-0102-0
- European medical Agency. Assessment Report EMA/CHMP/389874/2014. https://www.ema.europa.eu/en/documents/assessment-report/cosentyx-epar-public
- Gordon KB, Colombel JF, Hardin DS. Phase 3 Trials of Ixekizumab in Moderate-to-Severe Plaque Psoriasis. N Engl J Med. 2016;375(21):2102. doi: 10.1056/NEJMc1610828
- Spuls PI, Witkamp L, Bossuyt PM, Bos JD. The course of chronic plaque-type psoriasis in placebo groups of randomized controlled studies. Arch Dermatol. 2004;140(3):338–44; discussion 44. doi: 10.1001/archderm.140.3.338
Supplementary files






