Microarray technologies for analysis of genetic determinants of Neisseria gonorrhoeae antimicrobial resistance
- Authors: Shaskolskiy B.L.1, Kravtsov D.V.1, Kandinov I.D.1, Gryadunov D.A.1, Shpilevaya M.V.2, Shagabieva J.Z.2, Nosov N.Y.2
-
Affiliations:
- Center for Precision Genome Editing and Genetic Technologies for Biomedicine, Engelhardt Institute of Molecular Biology, Russian Academy of Sciences
- State Research Center of Dermatovenereology and Cosmetology
- Issue: Vol 101, No 1 (2025)
- Pages: 85-97
- Section: ORIGINAL STUDIES
- Submitted: 10.10.2024
- Accepted: 19.01.2025
- Published: 07.03.2025
- URL: https://vestnikdv.ru/jour/article/view/16837
- DOI: https://doi.org/10.25208/vdv16837
- ID: 16837
Cite item
Abstract
Background. Neisseria gonorrhoeae exhibits a remarkable capacity for rapid antimicrobial resistance development. Globally, the prevalence of antimicrobial-resistant N. gonorrhoeae isolates continues to rise steadily, raising concerns about the potential emergence of untreatable infections.
Aims. This work updates the distribution patterns of genetic resistance determinants in contemporary Russian clinical N. gonorrhoeae isolates to key antimicrobial agents, utilizing hydrogel microarray technology.
Methods. The study included 360 N. gonorrhoeae isolates collected at the Federal State Research Center of Dermatovenereology and Cosmetology between 2019 and 2023. The susceptibility of N. gonorrhoeae to penicillin, ceftriaxone, tetracycline, azithromycin, and ciprofloxacin was determined through serial dilution in agar, with the minimum inhibitory concentration (MIC) subsequently calculated. Genetic determinants of antimicrobial resistance in N. gonorrhoeae were identified using hydrogel microarray technology.
Results. The current data on the distribution of genetic determinants associated with antimicrobial resistance in N. gonorrhoeae are presented in this study. In the Russian population of gonococcus dynamic shifts are underway, leading to a redistribution of the proportion of isolates resistant or susceptible to various antimicrobial agents. Since 2020, a marked increase has been observed in the proportion of N. gonorrhoeae isolates resistant to azithromycin and ciprofloxacin. Concurrently, susceptibility to penicillin has rebounded, while the entire gonococcal population remains fully susceptible to ceftriaxone. The validated microarray-based NG-TEST diagnostic kit enables rapid detection of ceftriaxone resistance in N. gonorrhoeae by simultaneously identifying resistance-associated genetic markers in the penA, ponA, and porB genes, combined with MIC calculation.
Conclusion. Microarray technologies for detecting antimicrobial resistance genetic determinants in N. gonorrhoeae serve as a complementary tool for identifying resistant strains. Microarray-based analysis informs tailored treatment strategies for patients and enables population-level surveillance of antimicrobial resistance trends in N. gonorrhoeae.
Full Text
BACKGROUND
Despite almost a hundred-year-long history of treatment of gonococcal infection with a variety of antimicrobial drugs, more than 80 million cases of this disease are recorded annually in the world [1]. The etiological agent of gonorrhea is the gram-negative bacterium Neisseria gonorrhoeae, which has an exceptional ability to develop antibiotic resistance [2]. The proportion of drug-resistant N. gonorrhoeae strains in the world increases every year; cases of unsuccessful treatment of gonococcal infection with recommended products due to super-resistant gonococcal variants are published regularly [2–4]. Epidemiological data show that the situation with gonococcal infection in Russia over two decades of the 21st century has been and remains better than in European countries and the USA, despite the general recent increase in incidence: in 2021 — an increase by 10.4 % compared to the previous year; in 2022 — by 10.0 %; during the first four months of 2023 — by 5.5 % compared to the same period in 2022 [5].
The product of choice for the treatment of gonococcal infection in the Russian Federation is ceftriaxone, a third generation cephalosporin. In the Russian gonococcal population, the proportion of ceftriaxone-resistant isolates is minimal; studies have reported detection of sensitive isolates only [6]. This condition is atypical against the background of a global trend towards an increase in detected cases of isolates resistant to third-generation cephalosporins [7–11]. Quite a difficult situation is observed in China, where the proportion of ceftriaxone-resistant isolates increased from 2.9 % in 2017 to 8.1 % in 2022 [7].
An analysis of the Russian N. gonorrhoeae population sensitivity to azithromycin (used as a component of combination treatment of gonococcal infection in a large number of countries, but not recommended for therapy in Russia) showed an increase in resistant isolates from 0 % in 2018–2019 to 17 % in 2020 and 9 % in 2021 [12]. This proportion of azithromycin-resistant isolates precludes its use in accordance with the World Health Organization (WHO) criterion, in which the total proportion of gonococcal strains sensitive to an antimicrobial drug should not be lower than 95 % [13]. At the same time, the obtained data on the N. gonorrhoeae resistance to azithromycin emphasize the need for further epidemiological surveillance for spread of new variants of the etiological agent of gonococcal infection in Russia.
In the current situation, studies aimed at annual monitoring of the Russian population of the etiological agent of gonococcal infection are quite relevant, including those aimed at identification of genetic determinants of resistance to both ceftriaxone and azithromycin, as well as to products previously used to treat gonorrhea — penicillin, tetracycline and ciprofloxacin. To solve the set tasks, the Institute of Molecular Biology of the Russian Academy of Sciences (IMB RAS), together with the State Research Center for Dermatovenereology and Cosmetology of the Ministry of Health of Russia (FSBI “SRCDC” of the Ministry of Health of Russia) have developed several generations of oligonucleotide hydrogel microarrays (biochips), providing accurate identification of the genetic determinants of N. gonorrhoeae resistance to various antimicrobial drugs [12, 14, 15]. Particular attention is paid to the analysis of ceftriaxone resistance, where, based on the results of identifying determinants using a biochip, a machine learning method is used to predict the minimum inhibitory concentration (MIC) of ceftriaxone [16]. The developed approach with the modifications described in this paper (i.e., molecular probes helping to determine belonging to the species N. gonorrhoeae) became the basis for the “NG-TEST” reagent kit for identification of the genetic determinants of resistance to the third-generation cephalosporins for the etiological agent of gonococcal infection N. gonorrhoeae.
The purpose of this study is to update data on the distribution of genetic determinants of resistance to a number of antimicrobial drugs for the modern (2019–2023) Russian population of N. gonorrhoeae isolates using hydrogel biochip technology.
Methods Study objects
The study included 360 clinical isolates of N. gonorrhoeae submitted to the reference center of the FSBI “SRCDC” of the Ministry of Health of Russia as part of surveillance for antimicrobial resistance of sexually transmitted infections, including 123 clinical isolates in 2019; 119 — in 2020; 52 — in 2021; 25 — in 2022; 42 — in 2023. The samples were received from specialized dermatovenereological medical institutions located in eight constituent entities of the Russian Federation, belonging to five federal districts: Central — Moscow (n = 17) and Kaluga region (n = 101); Northwestern — Arkhangelsk region (n = 29); Southern — Astrakhan region (n = 23); Volga Federal District — the Republic of Tatarstan (n = 20) and the Chuvash Republic (n = 76); Siberian — Omsk (n = 20) and Novosibirsk (n = 74) regions.
Primary identification of N. gonorrhoeae isolates was carried out in the region of their isolation based on the results of microscopic examination and oxidase test [17–19]. The final verification was carried out at the reference center of the FSBI «SRCDC» of the Ministry of Health of Russia using NH cards on a VITEK 2 Compact analyzer (bioMérieux, France). For gram-negative oxidase-positive diplococci assessed as N. gonorrhoeae with a probability of less than 99 % based on a combination of biochemical properties, a supportive confirmatory test was carried out using a MALDI Microflex time-of-flight mass spectrometer with ionization (Bruker Daltonics GmbH, Germany).
Antimicrobial sensitivity testing
Determination of N. gonorrhoeae strains sensitivity to antimicrobial drugs was carried out using the method of serial dilutions in agar in accordance with the standard procedure [20] using the control strain N. gonorrhoeae ATCC 49 226 from the collection of type cultures of microorganisms. The assessment of N. gonorrhoeae sensitivity to antimicrobial drugs was performed in accordance with the criteria of MUK (methodology regulations) 4.2.1890-04 (https://fcgie.ru/download/elektronnaya_baza_metod_dokum/muk_1890-04.pdf, accessed on September 12, 2024) for all antimicrobial drugs, except azithromycin, for which the EUCAST criteria were applied (The European Committee on Antimicrobial Susceptibility Testing, Version 14.0, http://www.eucast.org, accessed on September 12, 2024). Antimicrobial sensitivity criteria for N. gonorrhoeae are presented in Table 1.
Table 1. Criteria of phenotypic sensitivity of N. gonorrhoeae to antimicrobial drugs
Таблица 1. Критерии фенотипической чувствительности N. gonorrhoeae к противомикробным препаратам
Antimicrobial drug (S; MR; R, mg/L) |
Penicillin (≤ 0.06; 0.12–1.0; ≥ 2.0) |
Ceftriaxone (≤ 0.25; – ; > 0.25) |
Tetracycline (≤ 0.25; 0.5–1.0; ≥ 2.0) |
Azithromycin (≤ 1.0; – ; > 1.0) |
Ciprofloxacin (≤ 0.03; 0.06; > 0.06) |
Note. S — sensitive; MR — moderately resistant; R — resistant. Azithromycin is always used in combination with another effective agent. MUK 4.2.1890-04 does not contain any indications for azithromycin, therefore EUCAST 14.0 was used, in which the ECOFF resistance threshold is 1 mg/l.
Примечание. Ч — чувствительный; УР — умеренно резистентный; Р — резистентный. Азитромицин всегда используется в сочетании с другим эффективным средством (цефтриаксоном или цефиксимом). В МУК 4.2.1890-04 отсутствуют указания об азитромицине, в связи с чем использовали EUCAST 14.0, в котором порог устойчивости ECOFF составляет 1 мг/л.
Identification of genetic determinants of N. gonorrhoeae antimicrobial resistance
Bacterial DNA was isolated using the “DNA-Express” kit (Litech, Russia), DNA concentration was assessed using a Qubit 3.0 spectrofluorometer (Invitrogen, USA).
Analysis of genetic determinants associated with ceftriaxone resistance was carried out using production samples of the NG-TEST reagent kit. A specialized hydrogel biochip (Fig. 1) provided simultaneous identification of the following determinants:
- insertion of an aspartic acid codon at position 345–346 of the penA gene and Ala311Val; Ile312Met; Val316Thr, Pro; Thr483Ser; Ala501Val, Thr, Pro; Asn512Tyr; Gly542Ser; Gly545Ser, and Pro551Leu, Ser substitutions in mosaic and non-mosaic alleles of the penA gene;
- Leu421Pro substitution in the ponA gene;
- Gly120Lys, Arg, Asp, Asn, Thr, and Ala121Asp, Asn, Gly, Val, Ser substitutions in the porB gene.
The biochip also included molecular probes to detect N. gonorrhoeae species-specific polymorphisms in the ISNgo2 transposable element (see Fig. 1).
Fig. 1. Schematic representation of the microarray integrated into the NG-TEST kit, featuring 113 immobilized oligonucleotide probes for targeted genetic analysis
Рис. 1. Схема биочипа, входящего в набор «NG-ТЕСТ» и содержащего 113 иммобилизованных олигонуклеотидных зондов
Elements of the biochip are represented in the form of circles, highlighted in different colors based on the locus analyzed, and the detectable marker is indicated inside them. Elements with probe sequences corresponding to the wild type are highlighted with a thick line. Elements with the indixes “Ng+” and “Ng–” contain probes for polymorphic loci from the transposable element ISNgo2 and are used for species identification of N. gonorrhoeae. Cells with index “0” do not contain oligonucleotides and are used to normalize the background signal. Cells with index “M” contain a fluorescent marker and are necessary for automatic processing of the biochip hybridization pattern.
The analysis procedure included multiplex amplification and simultaneous fluorescent labeling of N. gonorrhoeae genome fragments, followed by hybridization of the resulting products on a biochip, automated registration and interpretation of results using a universal hardware and software complex for biochip analysis (IMB RAS, Russia). Based on the results of the analysis, genetic determinants associated with N. gonorrhoeae antimicrobial resistance were determined.
Fig. 2. Fluorescent hybridization patterns and interpretation of the results of biochip-based analysis of N. gonorrhoeae isolates using the “NG-TEST” reagent kit
Рис. 2. Флуоресцентные гибридизационные картины и интерпретация результатов анализа изолятов N. gonorrhoeae на биочипе с использованием набора реагентов «NG-ТЕСТ»
Ceftriaxone MIC value of an individual isolate with an identified set of genetic determinants was calculated using a 20-parameter regression model as described previously [16]. Fig. 2 presents fluorescent patterns and interpretation of the results of analysis using biochips for the purpose of identifying mutations and predicting ceftriaxone MIC. The biochip elements in which the immobilized probes have formed perfect hybridization complexes with the wild-type DNA are highlighted green. The elements of the biochip with complexes of immobilized molecular probes and DNA with mutations are highlighted red (in accordance with the biochip diagram in Fig. 1). Reports on interpretation of the results confirming that the analyzed DNA belongs to the species N. gonorrhoeae, the presence/absence of mutations in the penA, ponA and porB genes and the calculated ceftriaxone MIC values when analyzing DNA: 1) an isolate without mutations carrying the non-mosaic penA gene (ceftriaxone MIC = 0.002 mg/L); 2) an isolate possessing a mosaic penA gene with various substitutions and multiple mutations in the penA, porB, ponA genes (ceftriaxone MIC = 0.031 mg/L). Both isolates are sensitive to ceftriaxone according to the criteria of MUK 4.2.1890-04.
Determination of genetic determinants of resistance of N. gonorrhoeae isolates to azithromycin, penicillin, tetracycline, and ciprofloxacin was carried out as described previously [12, 15]. The presence of the C2611T substitution in 23S rRNA or a genetic profile in which a mosaic allele of the mtrR promoter is present with a mosaic allele of mtrD were considered as markers of azithromycin resistance. The consistency of this approach was previously shown [21].
Statistical analysis
When analyzing the isolates sensitivity to ceftriaxone and azithromycin, the results of resistance determination using a reference microbiological and molecular method were compared and the parameters of diagnostic specificity (Sp) and sensitivity (Sn) were calculated using the following formulas:
Sp = Tn / (Tn + Fp) × 100 %,
Sn = Tp / (Tp + Fn) × 100 %,
where Tp and Tn are the true positive and true negative results, respectively; Fp and Fn are the false positive and false negative results, respectively.
Results Resistance of N. gonorrhoeae isolates to ceftriaxone
All isolates analyzed were sensitive to ceftriaxone; 4.7 % of isolates had a ceftriaxone MIC value of 0.06 mg/L, which is only two dilutions below the resistance threshold. The distribution of genetic determinants of resistance in the population taking into account ceftriaxone MIC is presented in Fig. 3. A significant proportion of isolates with reduced sensitivity (MICcef > 0.03 mg/L) had substitutions in the penA (312Met, 316Thr, 501Val, 545Ser, 551Ser) and porB (120Lys) genes. In most cases, it was combinations of mutations in the penA, ponA and porB genes, and not single substitutions, that led to a significant decrease in sensitivity to ceftriaxone. Isolates with reduced sensitivity also exhibited genetic profiles typical for penA mosaic alleles, with the following substitutions: Ile312Met, Val316Thr, Asn512Tyr, and Gly545Ser. In total, mosaic alleles of the penA gene were found in 4.3 % of the studied sample isolates (see Fig. 3).
Fig. 3. Distribution of substitutions in the penA, ponA and porB genes when dividing the study sample isolates into groups with reduced (MICcef > 0.03 mg/L) and non-reduced (MICcef ≤ 0.03 mg/L) sensitivity to ceftriaxone
Рис. 3. Распределение замен в генах penA, ponA и porB при разделении изолятов исследуемой выборки на группы со сниженной (МПКцеф > 0,03 мг/л) и несниженной (МПКцеф ≤ 0,03 мг/л) чувствительностью к цефтриаксону
Table 2. A comparative analysis of the results obtained for the determination of ceftriaxone MIC in N. gonorrhoeae strains, using either a serial dilution method or the NG-TEST kit
Таблица 2. Сравнение результатов определения значения МПК цефтриаксона у штаммов N. gonorrhoeae, полученных методом серийных разведений и с использованием набора «NG-ТЕСТ»
Phenotypic | Predicted | |
MICcef, | Number of | Geometric |
0.0015 | 1 | 0.005 |
0.002 | 114 | 0.0039 |
0.004 | 77 | 0.0077 |
0.008 | 76 | 0.0091 |
0.015 | 39 | 0.0135 |
0.03 | 36 | 0.009 |
0.06 | 17 | 0.0081 |
The results of comparing ceftriaxone MIC values obtained by a serial dilution method with the MIC value predicted by the “NG-TEST” kit are presented in Table 2. According to the table data, the predicted MIC values coincide well with the experimentally measured ones. For 78 % of the strains, the predicted values differed by not more than one twofold dilution. When analyzing the sample, no false positive results were obtained; all isolates were correctly identified as sensitive ones. Thus, the modern Russian gonococcal population continues to be sensitive to ceftriaxone.
Resistance of N. gonorrhoeae isolates to azithromycin
The proportion of azithromycin-resistant isolates (MIC > 1 mg/L) made up a total of 11 % of the entire sample. The distribution of genetic profiles associated with azithromycin resistance when dividing isolates into sensitive and resistant ones is presented in Fig. 4. In azithromycin-resistant isolates, an increase in the proportion of genotypes with a mosaic mtrR gene promoter in combination with a mosaic mtrD gene was observed. 7.5 % of resistant isolates had C2611T substitutions in the 23S rRNA gene, and in all cases they were present in all four copies of the rrn operon. No isolates with 2058G or 2059G substitutions in the 23S rRNA gene were identified. 2.5 % of azithromycin-resistant isolates did not contain mutations in the analyzed mtrR, mtrD and 23S rRNA loci. The genetic profile most typical for azithromycin-resistant isolates included the mosaic mtrD gene, the mosaic mtrR promoter, and a substitution in the coding region of the mtrR gene Ala86Thr.
Fig. 4. Distribution of genetic profiles of the mtrR, mtrD, and 23S rRNA loci in azithromycin-resistant and azithromycin-sensitive isolates in the study sample
Рис. 4. Распределение генетических профилей локусов mtrR, mtrD и 23S рРНК в устойчивых и чувствительных к азитромицину изолятах в исследуемой выборке
Based on the results of comparing data on phenotypic sensitivity to ceftriaxone and azithromycin and identifying genetic determinants of resistance to these products using microarray technologies, the diagnostic characteristics of molecular methods were determined (Table 3).
Table 3. A comparative analysis of the results of N. gonorrhoeae strains sensitivity to ceftriaxone and azithromycin using the method of serial dilutions and microarray technology
Таблица 3. Сравнение результатов определения чувствительности штаммов N. gonorrhoeae к цефтриаксону и азитромицину методом серийных разведений и с использованием микрочиповых технологий
Product | Resistance | Number of | Presence of | Sensitivity, | Specificity, |
Ceftriaxone | Sensitive | 360 | 0 | — | 100 |
Resistant | 0 | 0 | |||
Azithromycin | Sensitive | 339 | 24 | 88 | 93 |
21 | 18 |
Resistance of N. gonorrhoeae isolates to ciprofloxacin, tetracycline and penicillin
Resistance to ciprofloxacin. On average, the proportion of isolates resistant to ciprofloxacin (MIC ≥ 1 mg/L) was 49 %; 1 % were moderately resistant (MIC 0.12–0.50 mg/L) and 50 % were sensitive (MIC ≤ 0.06 mg/L). The distribution of genetic profiles characterizing N. gonorrhoeae resistance to ciprofloxacin, when dividing the sample of isolates into sensitive, moderately resistant and resistant ones, is presented in Fig. 5.
Fig. 5. Distribution of genetic profiles of the gyrA and parC loci in ciprofloxacin-resistant and ciprofloxacin-sensitive isolates in the study sample
Рис. 5. Распределение генетических профилей локусов gyrA и parC в устойчивых и чувствительных к ципрофлоксацину изолятах в исследуемой выборке
In the majority of ciprofloxacin-resistant isolates, mutations in the “quinolone pocket” were detected, among which the Ser91Phe substitution in the gyrA gene should be noted. As a rule, in the study sample it was not isolated, but was found in combination with the gyrA 95Ala/Gly/Asn and/or parC 87Arg/91Gly substitutions, which led to a sharp increase in MIC above the resistance threshold (from 4 to 16 mg/L for the first and second profiles, respectively).
Resistance to penicillin. The proportion of isolates resistant to penicillin (MIC ≥ 2 mg/L) was 8 %; 41 % were moderately resistant (MIC – 0.12–1.00 mg/L), 50 % were sensitive (MIC ≤ 0.06 mg/L). The distribution of genetic profiles characterizing N. gonorrhoeae resistance to penicillin, when dividing the sample of isolates into sensitive, moderately resistant and resistant ones, is presented in Fig. 6.
Fig. 6. Distribution of genetic profiles of the penA, ponA, porB, and blaTEM loci in penicillin-resistant and penicillin-sensitive isolates in the study sample
Рис. 6. Распределение генетических профилей локусов penA, ponA, porB и blaTEM в устойчивых и чувствительных к пенициллину изолятах в исследуемой выборке
31 % of resistant isolates carried the blaTEM plasmid, the presence of which increased penicillin MIC to 4–32 mg/L. Leu421Pro substitution in the ponA gene in combination with mutations in the penA and porB genes was found in 55 % of resistant isolates. A significant proportion of sensitive isolates had an isolated aspartate insertion at codon 345 of the penA gene. The most typical genetic profile for penicillin-resistant isolates included the Leu421Pro substitution in the ponA gene, an aspartate insertion at codon 345 of the penA gene with a Gly542Ser substitution in the same gene, and the Gly120Lys mutation in the porB gene.
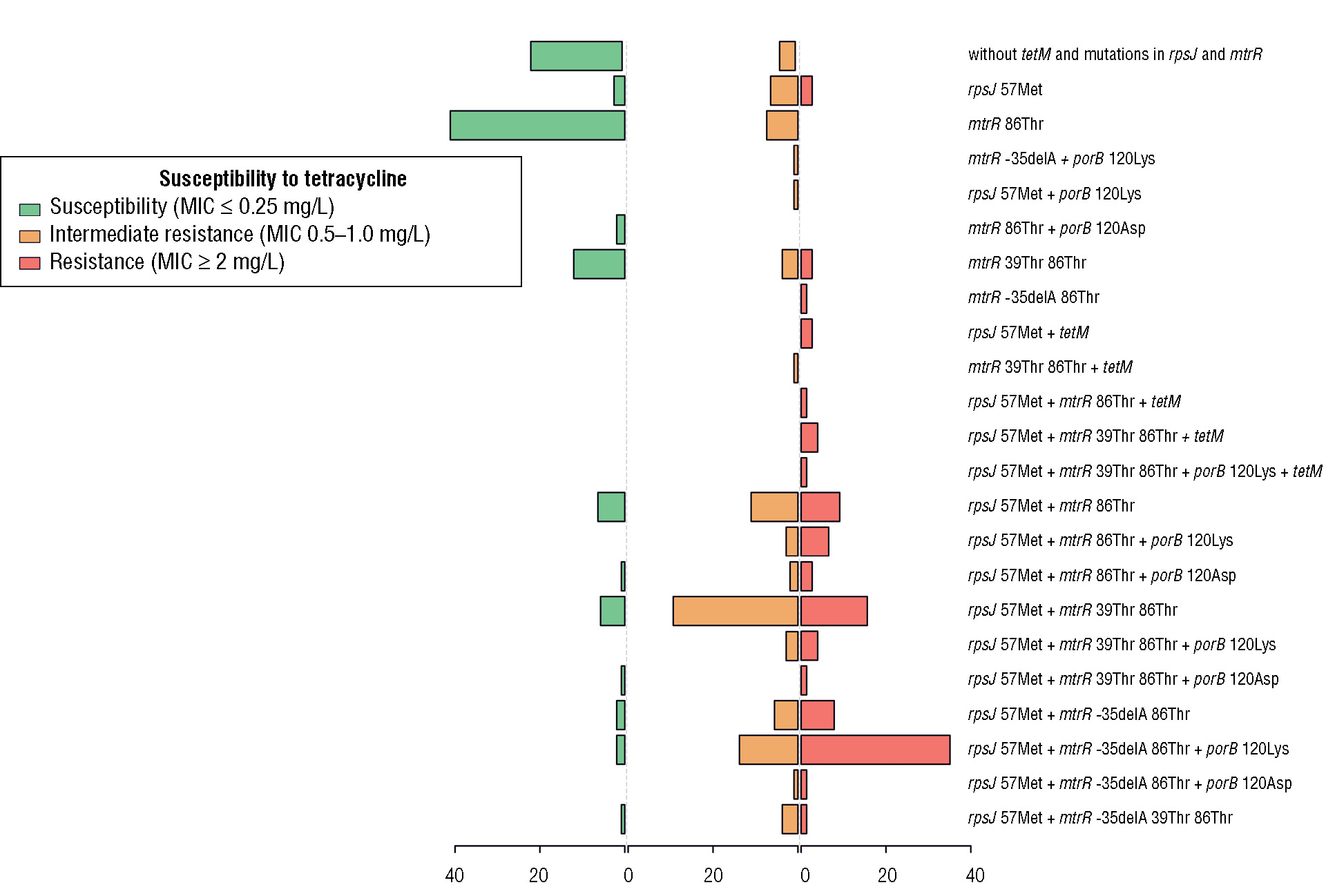
Resistance to tetracycline. On average, the proportion of isolates resistant to tetracycline (MIC ≥ 2 mg/L) was 21 %; 30 % were moderately resistant (MIC – 0.5–1.0 mg/L), 43 % were sensitive (MIC ≤ 0.25 mg/L). The distribution of genetic profiles characterizing N. gonorrhoeae resistance to tetracycline, when dividing the sample of isolates into sensitive, moderately resistant and resistant ones, is presented in Fig. 7.
Fig. 7. Distribution of genetic profiles of the rpsJ, mtrR, porB, and tetM loci in tetracycline-resistant and tetracycline-sensitive isolates in the study sample
Рис. 7. Распределение генетических профилей локусов rpsJ, mtrR, porB и tetM в устойчивых и чувствительных к тетрациклину изолятах в исследуемой выборке
62 % of tetracycline-resistant isolates carried the tetM conjugative plasmid, the presence of which increased tetracycline MIC to 4–16 mg/L. The isolated Ala86Thr mutation in the coding region of the mtrR gene was significantly more common in sensitive isolates. The most typical genetic profile for tetracycline-resistant isolates without a conjugative plasmid included the Val57Met substitution in the rpsJ gene, an adenine deletion at position 35 of the mtrR gene promoter and the Ala86Thr substitution in the same gene, as well as the Gly120Lys mutation in the porB gene.
Dynamics of antimicrobial resistance of N. gonorrhoeae isolates in 2019–2023
Analysis of the distribution of genetic profiles characterizing N. gonorrhoeae antimicrobial resistance shows different trends in the distribution of typical determinants that make the greatest contribution to the MIC increase. The proportions of isolates with typical genetic determinants of resistance to ciprofloxacin, penicillin, tetracycline and azithromycin in 2019–2023 are presented in Fig. 8.
Fig. 8. Dynamics of the incidence in 2019–2023 of N. gonorrhoeae isolates resistant to penicillin, tetracycline, ciprofloxacin, azithromycin, possessing the genetic determinants that make the greatest contribution to the MIC increase. The lines indicate the change in the proportions of characteristic genetic determinants. The histogram columns reflect the annual proportion of isolates with phenotypic resistance to the corresponding antimicrobial drug
Рис. 8. Динамика встречаемости в 2019–2023 гг. изолятов N. gonorrhoeae, устойчивых к пенициллину, тетрациклину, ципрофлоксацину, азитромицину, обладающих генетическими детерминантами, вносящими наибольший вклад в повышение МПК. Линиями обозначено изменение долей характерных генетических детерминант. Столбцы гистограммы отражают ежегодную долю изолятов с фенотипической устойчивостью к соответствующему противомикробному препарату
The disappearance of isolates resistant to penicillin occurs against the background of disappearance of strains with the blaTEM plasmid gene in the population (at least in the analyzed sample) and a decrease in the proportion of isolates with chromosomal determinants of resistance — the Leu421Pro substitution in the ponA gene and an aspartate insertion in codon 345 of the penA gene.
The opposite trend is observed when analyzing tetracycline resistance: an increase in the proportion of isolates with chromosomal determinants localized in the rpsJ, mtrR and porB genes is recorded. Of particular note is the preservation of strains with the tetM plasmid gene, the most “powerful” determinant of tetracycline resistance. In general, the proportion of tetracycline-resistant isolates remains at a consistently high level (~30 %).
The annual increase in the proportion of ciprofloxacin-resistant isolates is confirmed by the corresponding determinants in the gyrA and parC genes, including the Ser91Phe substitution in gyrA. There is currently no trend towards a decrease in N. gonorrhoeae resistance to fluoroquinolones in Russia.
In 2019, no azithromycin-resistant isolates were identified. Their appearance dates back to 2020, with the consolidation of strains possessing a mosaic promoter of the mtrR gene with the mosaic mtrD gene in the Russian gonococcal population. At the same time, isolates with mutations in the 23S rRNA gene remain rare: during the analysed period, only three isolates with the C2611T polymorphism were identified.
DISCUSSION
The results of this study show that gonococcal ceftriaxone resistance in Russia meets the WHO criteria for the use of an antibiotic (the proportion of sensitive isolates in the population is more than 95 %). At the same time, almost 5 % of identified isolates with reduced ceftriaxone sensitivity (MIC > 0.03 mg/L) and the spread of resistant strains around the world, along with the use of ceftriaxone as the antimicrobial drug of choice, determine the importance of using molecular methods to analyze N. gonorrhoeae resistance to this product.
Since 2020, the emergence and consolidation of azithromycin-resistant isolates in the Russian gonococcal population, previously found only sporadically, have been registered [22]. Due to the significant proportion of such isolates exceeding the WHO criterion, the advisability of using this product for the gonococcal infection treatment in the general case has been questioned.
In a study of isolates obtained in Russia in 2005–2016, a trend towards a decrease in resistance to penicillin, tetracycline and ciprofloxacin was observed, and it was associated with the exclusion of these products from therapy regimens [22]. The results of this work show that this trend remains only for penicillin. There is still a proportion of moderately resistant strains (or strains that are resistant at increased exposure) while isolates with a true penicillin-resistant phenotype are reduced and eliminated. An interesting feature of the 2022–2023 population was a very small proportion of isolates with the blaTEM plasmid gene, while isolates with the tetM plasmids were retained. It has previously been shown that the tetM conjugative plasmid in N. gonorrhoeae can facilitate the transfer of other plasmids, which are often found with the tetM [24] plasmids, into the cell, including blaTEM [23]. Despite the discontinuation of using ciprofloxacin for the treatment of gonorrhea, an increase in isolates with multiple resistance determinants in the “fluoroquinolone pocket” (in the gyrA and parC genes) and the persistence of a high proportion of ciprofloxacin-resistant isolates have been observed. In the absence of selective product pressure, these mutations should negatively impact bacterial fitness, but this process is paradoxically not accompanied by rapid elimination of the corresponding variants from the N. gonorrhoeae population.
The developed microarray technologies have been validated using 360 clinical isolates. The diagnostic specificity of the “NG-TEST” reagent kit was 100 %, and no false negative results were obtained. A distinctive feature of the created method is not just the separation of isolates into sensitive and resistant ones, but also the determination of ceftriaxone MIC value for the analyzed sample. In the present study, the method showed good repeatability with the phenotypic determination of MIC for 78 % of the isolates. In addition to predicting MIC, the developed method provides data on the presence of genetic determinants of drug resistance to cephalosporins, and therefore it is suitable for solving problems of both clinical laboratory diagnostics and molecular epidemiology of gonococcus.
When determining azithromycin resistance using a biochip, diagnostic sensitivity and specificity values of 88 and 93 %, respectively, were obtained. These characteristics are comparable to the results obtained from analysis of data on the whole genome sequencing of azithromycin-resistant N. gonorrhoeae isolates. According to the Pathogenwatch database, the sensitivity and specificity of this method are 72 and 100 %, respectively. [25]
The previously described biochips, [12, 14, 15] which allow to obtain data on the determinants of N. gonorrhoeae resistance to previously used ciprofloxacin, penicillin and tetracycline, are also of interest for molecular epidemiology. When analyzing the gonococcal population, it was shown that for predicting the sensitivity of an isolate to antimicrobial drugs, it is necessary to take into account the genetic profile of mutations in various loci, while the contribution of each mutation to phenotypic sensitivity is generally different. The use of microarray technologies will allow in the future to carry out the dynamic monitoring of N. gonorrhoeae transmission routes in the regions, improve the epidemiological surveillance system and increase the efficacy of gonorrhea treatment.
CONCLUSION
In the Russian N. gonorrhoeae population, active processes are occurring that are associated with the redistribution of the proportions of isolates resistant to various antimicrobial drugs. Since 2020, azithromycin resistance has increased sharply, the proportion of ciprofloxacin-resistant isolates is growing, penicillin sensitivity has been restored, but the entire population remains sensitive to ceftriaxone.
The “NG-TEST” reagent kit, developed and validated with 360 samples, ensures rapid determination of N. gonorrhoeae resistance to ceftriaxone through simultaneous identification of genetic determinants of resistance in the penA, ponA and porB genes and calculation of the MIC value. This method and other microarray technologies for identification of the determinants of N. gonorrhoeae antimicrobial resistance can be used as an auxiliary tool for identifying resistant N. gonorrhoeae strains. The use of microarray technologies will facilitate both the selection of the correct treatment strategy for a particular patient and the collection of epidemiological information, providing the possibility to monitor the molecular epidemiological picture at the population level.
Authors’ participation: all authors: approval of the final version of the article, responsibility for the integrity of all parts of the article. Concept and design of the study — Boris L. Shaskolskiy, Dmitry A. Gryadunov; collection and processing of material — Julia Z. Shagabieva, Marina V. Shpilevaya; experimental investigation — Dmitry V. Kravtsov, Ilya D. Kandinov, Nikita Yu. Nosov; data analysis — Boris L. Shaskolskiy, Dmitry V. Kravtsov; text writing, editing — Boris L. Shaskolskiy, Dmitry A. Gryadunov.
Conflict of interest: the authors declare that there are no obvious and potential conflicts of interest associated with the publication of this article.
Funding source: this work was funded by the Russian Science Foundation, grant no. 24-25-20084.
About the authors
Boris L. Shaskolskiy
Center for Precision Genome Editing and Genetic Technologies for Biomedicine, Engelhardt Institute of Molecular Biology, Russian Academy of Sciences
Author for correspondence.
Email: bls@shaskolskiy.ru
ORCID iD: 0000-0002-0316-2262
Cand. Sci. (Chem.)
Россия, 32 Vavilova street, 119991 MoscowDmitry V. Kravtsov
Center for Precision Genome Editing and Genetic Technologies for Biomedicine, Engelhardt Institute of Molecular Biology, Russian Academy of Sciences
Email: solo13.37@yandex.ru
ORCID iD: 0000-0003-4180-6898
SPIN-code: 5381-7087
Россия, 32 Vavilova street, 119991 Moscow
Ilya D. Kandinov
Center for Precision Genome Editing and Genetic Technologies for Biomedicine, Engelhardt Institute of Molecular Biology, Russian Academy of Sciences
Email: ilya9622@gmail.com
ORCID iD: 0000-0001-9416-875X
SPIN-code: 8118-6614
32 Vavilova street, 119991 Moscow
Dmitry A. Gryadunov
Center for Precision Genome Editing and Genetic Technologies for Biomedicine, Engelhardt Institute of Molecular Biology, Russian Academy of Sciences
Email: grad@biochip.ru
ORCID iD: 0000-0003-3183-318X
SPIN-code: 6341-2455
Dr. Sci. (Biol.)
Россия, 32 Vavilova street, 119991 MoscowMarina V. Shpilevaya
State Research Center of Dermatovenereology and Cosmetology
Email: aniram1970@list.ru
ORCID iD: 0000-0002-9957-4009
SPIN-code: 6600-3311
Cand. Sci. (Biol.)
Россия, 3/6, Korolenko street,107076 MoscowJulia Z. Shagabieva
State Research Center of Dermatovenereology and Cosmetology
Email: shagabieva1412@mail.ru
ORCID iD: 0000-0002-7595-0276
SPIN-code: 7270-5113
Cand. Sci. (Chem.)
Россия, 3/6, Korolenko street,107076 MoscowNikita Y. Nosov
State Research Center of Dermatovenereology and Cosmetology
Email: nosovnj@mail.ru
ORCID iD: 0000-0002-3967-8359
SPIN-code: 8806-8539
Cand. Sci. (Biol.)
Россия, 3/6, Korolenko street,107076 MoscowReferences
- Global health sector strategies on, respectively, HIV, viral hepatitis and sexually transmitted infections for the period 2022–2030. Geneva, Switzerland: World Health Organization; 2022. URL: https://www.who.int/publications/i/item/9789240053779
- Shaskolskiy B, Kandinov I, Demetieva E, Gryadunov D. Antibiotic Resistance in Neisseria gonorrhoeae: Challenges in Research and Treatment. Microorganisms. 2022;10(9):1699. doi: 10.3390/microorganisms10091699
- Maubaret C, Caméléna F, Mrimèche M, Braille A, Liberge M, Mainardis M, et al. Two cases of extensively drug-resistant (XDR) Neisseria gonorrhoeae infection combining ceftriaxone-resistance and high-level azithromycin resistance, France, November 2022 and May 2023. Euro Surveill. 2023;28(37):2300456. doi: 10.2807/1560-7917.ES.2023.28.37.2300456
- Pleininger S, Indra A, Golparian D, Heger F, Schindler S, Jacobsson S, et al. Extensively drug-resistant (XDR) Neisseria gonorrhoeae causing possible gonorrhoea treatment failure with ceftriaxone plus azithromycin in Austria, April 2022. Euro Surveill. 2022;27(24):2200455. doi: 10.2807/1560-7917.ES.2022.27.24.2200455
- Красносельских Т.В., Соколовский Е.В., Рахматулина М.Р., Новоселова Е.Ю., Мелехина Л.Е. Заболеваемость сифилисом и некоторыми другими ИППП в Российской Федерации: прошлое, настоящее и пути достижения контроля эпидемиологической ситуации в будущем. Вестник дерматологии и венерологии. 2023;99(4):41–59. [Krasnoselskikh TV, Sokolovskiy EV, Rakhmatulina MR, Novoselova EYu, Melekhina LE. Syphilis and some other STIs in the Russian Federation: past, present and ways to control of the epidemiological situation in the future. Vestnik Dermatologii i Venerologii. 2023;99(4):41–59. (In Russ.)] doi: 10.25208/vdv13726
- Шагабиева Ю.З., Носов Н.Ю., Шпилевая М.В., Дерябин Д.Г., Образцова О.А., Никонорова Е.Р., и др. Анализ динамики устойчивости Neisseria gonorrhоeaе к антимикробным препаратам в РФ за период 2005–2021 гг. Вестник дерматологии и венерологии. 2023;99(3):53–62. [Shagabieva JZ, Nosov NYu, Shpilevaya MV, Deryabin DG, Obraztsova OA, Nikonorova ER, et al. Analysis of the dynamics of Neisseria gonorrhоeaе resistance to antimicrobial drugs in the Russian Federation for the period 2005–2021. Vestnik Dermatologii i Venerologii. 2023;99(3):53–62. (In Russ.)] doi: 10.25208/vdv1410
- Xiaoyu Z, Yue Xi, Xiangdong G, Shaochun C. Ceftriaxone-Resistant Gonorrhea — China,2022. MMWR Morb Mortal Wkly Rep. 2024;73(12):255–259. doi: 10.15585/mmwr.mm7312a2
- Reimche JL, Pham CD, Joseph SJ, Hutton S, Cartee JC, Ruan Y, et al. Novel strain of multidrug non-susceptible Neisseria gonorrhoeae in the USA. Lancet Infect Dis. 2024;24(3):e149–e151. doi: 10.1016/S1473-3099(23)00785-5
- Day M, Pitt R, Mody N, Saunders J, Rai R, Nori A, et al. Detection of 10 cases of ceftriaxone-resistant Neisseria gonorrhoeae in the United Kingdom, December 2021 to June 2022. Euro Surveill. 2022;27(46):2200803. doi: 10.2807/1560-7917.ES.2022.27.46.2200803
- Crucitti T, Belinga S, Fonkoua M, Abanda M, Mbanzouen W, Sokeng E, et al. Sharp increase in ciprofloxacin resistance of Neisseria gonorrhoeae in Yaounde, Cameroon: analyses of a laboratory database period 2012–2018. Int J STD AIDS. 2020;31(6):579–586. doi: 10.1177/0956462419897227
- Caméléna F, Mérimèche M, Brousseau J, Mainardis M, Verger P, Le Risbé C, et al. Emergence of Extensively Drug-Resistant Neisseria gonorrhoeae France,2023. Emerg Infect Dis. 2024;30(9):1903–1906. doi: 10.3201/eid3009.240557
- Kandinov I, Dementieva E, Filippova M, Vinokurova A, Gorshkova S, Kubanov A, et al. Emergence of Azithromycin-Resistant Neisseria gonorrhoeae Isolates Belonging to the NG-MAST Genogroup 12302 in Russia. Microorganisms. 2023;11(5):1226. doi: 10.3390/microorganisms11051226
- Updated recommendations for the treatment of Neisseria gonorrhoeae, Chlamydia trachomatis, and Treponema pallidum (syphilis)and new recommendations on syphilis testing and partner services. World Health Organization; 2024. URL: https://www.who.int/publications/i/item/9789240090767
- Gryadunov DA, Shaskolskiy BL, Nasedkina TV, Rubina AY, Zasedatelev AS. The EIMB Hydrogel Microarray Technology: Thirty Years Later. Acta Naturae. 2018;10(4):4–18. doi: 10.32607/20758251-2018-10-4-4-18
- Shaskolskiy B, Kandinov I, Kravtsov D, Vinokurova A, Gorshkova S, Filippova M, et al. Hydrogel Droplet Microarray for Genotyping Antimicrobial Resistance Determinants in Neisseria gonorrhoeae Isolates. Polymers (Basel). 2021;13(22):3889. doi: 10.3390/polym13223889
- Shaskolskiy B, Kandinov I, Kravtsov D, Filippova M, Chestkov A, Solomka V, et al. Prediction of ceftriaxone MIC in Neisseria gonorrhoeae using DNA microarray technology and regression analysis. J Antimicrob Chemother. 2021;76(12):3151–3158. doi: 10.1093/jac/dkab308
- Стандартные операционные процедуры по забору клинического материала у пациентов с подозрением на гонококковую инфекцию СОП № ГОН 002/04. М.: ДЭКС-ПРЕСС; 2008. 20 с. [Standartnye operacionnye procedury po zaboru klinicheskogo materiala u pacientov s podozreniem na gonokokkovuju infekciju (SOP No. GON 002/04). Moscow: DEKS-PRESS; 2008. (In Russ.)]
- Кубанова А.А., Фриго Н.В., Кубанов А.А., и др. Стандартные операционные процедуры по транспортировке и доставке клинического материала и выделенных культур возбудителя гонореи СОП № ГОН 001/03. М.: ДЭКС-ПРЕСС; 2008. 17 с. [Kubanova AA, Frigo NV, Kubanov AA, et al. Standartnye operacionnye procedury po transportirovke i dostavke klinicheskogo materiala i vydelennyh kul’tur vozbuditelja gonorei (SOP No. GON 001/03). Moscow: DEKS-PRESS; 2008. (In Russ.)]
- Кубанова А.А., Кубанов А.А., Фриго Н.В., и др. Стандартные операционные процедуры по проведению видовой идентификации возбудителя гонореи СОП № ГОН 003/04, СОП № ГОН 004/04, СОП № 005/04. М.: ДЭКС-ПРЕСС; 2008. 29 с. [Kubanova AA, Kubanov AA, Frigo NV, et al. Standartnye operacionnye procedury po provedeniju vidovoj identifikacii vozbuditelja gonorei (SOP No. GON 003/04; SOP No. GON 004/04; SOP No. GON 005/04). Moscow: DEKS-PRESS; 2008. (In Russ.)]
- Кубанова А.А., Фриго Н.В., Кубанов А.А. и др. Стандартные операционные процедуры по методам определения чувствительности гонококкa к антибактериальным препаратам. М.: ДЭКС-ПРЕСС; 2008. 16 с. [Kubanova AA, Frigo NV, Kubanov AA, et al. Standartnye operacionnye procedury po metodam opredelenija chuvstvitel’nosti gonokokka k antibakterial’nym preparatam (SOP No. GON 006/03). Moscow: DEKS-PRESS; 2008. 16 s. (In Russ.)]
- Kandinov I, Shaskolskiy B, Kravtsov D, Vinokurova A, Gorshkova S, Kubanov A, et al. Azithromycin Susceptibility Testing and Molecular Investigation of Neisseria gonorrhoeae Isolates Collected in Russia,2020–2021. Antibiotics (Basel). 2023;12(1):170. doi: 10.3390/antibiotics12010170
- Kubanov A, Solomka V, Plakhova X, Chestkov A, Petrova N, Shaskolskiy B, et al. Summary and Trends of the Russian Gonococcal Antimicrobial Surveillance Programme,2005 to 2016. J Clin Microbiol. 2019;57(6):e02024-18. doi: 10.1128/JCM.02024-18
- Roberts MC, Knapp JS. Transfer of beta-lactamase plasmids from Neisseria gonorrhoeae to Neisseria meningitidis and commensal Neisseria species by the 25.2-megadalton conjugative plasmid. Antimicrob Agents Chemother. 1988;32(9):1430–1432. doi: 10.1128/AAC.32.9.1430
- Shaskolskiy B, Dementieva E, Kandinov I, Filippova M, Petrova N, Plakhova X, et al. Resistance of Neisseria gonorrhoeae isolates to beta-lactam antibiotics (benzylpenicillin and ceftriaxone) in Russia,2015–2017. PLoS One. 2019;14(7):e0220339. doi: 10.1371/journal.pone.0220339
- Sánchez-Busó L, Yeats CA, Taylor B, Goater RJ, Underwood A, Abudahab K, et al. A community-driven resource for genomic epidemiology and antimicrobial resistance prediction of Neisseria gonorrhoeae at Pathogenwatch. Genome Med. 2021;13(1):61. doi: 10.1186/s13073-021-00858-2
Supplementary files












