Narrow-band mid-wave uгltraviolet therapy in patients with mycosis fungoides
- Authors: Vorontsova A.A.1, Zhilova M.B.1, Znamenskaya L.F.1
-
Affiliations:
- State Research Center of Dermatovenereology and Cosmetology
- Issue: Vol 101, No 3 (2025)
- Pages: 28-37
- Section: ORIGINAL STUDIES
- Submitted: 17.04.2025
- Accepted: 25.06.2025
- Published: 04.08.2025
- URL: https://vestnikdv.ru/jour/article/view/16891
- DOI: https://doi.org/10.25208/vdv16891
- EDN: https://elibrary.ru/ddonbs
- ID: 16891
Cite item
Full Text
Abstract
Background. Standardization of the approach to the prescription of UVB-311 in mycosis fungoides is an urgent problem that requires prospective studies aimed at finding the most effective and safe treatment regimens.
Aim. To assess the efficacy of an optimized regimen of narrow-band medium-wave ultraviolet therapy in the treatment of patients with mycosis fungoides compared to PUVA therapy.
Methods. The authors performed a prospective non-randomized comparative study. The study enrolled 30 patients with early-stage mycosis fungoides (IA–IIA): 15 patients received UVB-311, 15 received PUVA therapy with oral administration of the photosensitizer Ammi majoris fructuum furocumarini. Therapeutic efficacy was assessed at the 10th, 20th, and final treatment sessions using the mSWAT and BSA criteria.
Results. A comparative analysis of therapeutic efficacy showed no statistically significant differences in changes in BSA and mSWAT clinical indices between UVB-311 and PUVA therapy (p > 0.05). The proportion of total response (the sum of complete and partial remission) did not differ between the treatment groups, it constituted 93.3% (n = 14).
Conclusion. In the proposed regimen, UVB-311 is comparable to PUVA in patients with early-stage mycosis fungoides.
Keywords
Full Text
Обоснование
Применение методов фототерапии отражено в клинических рекомендациях в качестве терапии первой линии ранних стадий (IA–IIA) грибовидного микоза [1, 2]. ПУВА-терапия используется в лечении грибовидного микоза с 1976 г. [3]. Считается, что при наличии в клинической картине пациента инфильтративно-бляшечных очагов следует отдавать предпочтение ПУВА-терапии из-за способности ультрафиолетового излучения данного спектра к проникновению в эпидермис и все слои дермы [1, 2]. Узкополосная средневолновая фототерапия с длиной волны 311 нм (УФВ-311) действует более поверхностно, однако в сравнении с ПУВА-терапией имеет ряд преимуществ, таких как отсутствие необходимости приема пероральных фотосенсибилизаторов, связанных с развитием побочных эффектов (диспепсические явления, головокружение, длительная фотосенсибилизация глаз и кожи), возможность назначения терапии пациентам с противопоказаниями к ПУВА-терапии (катаракта, заболевания печени, сопровождающиеся повышением печеночных трансаминаз) [2, 4].
В клинических рекомендациях отсутствует описание режима назначения УФВ-311 больным грибовидным микозом [1, 2]. Доказательства эффективности применяемых методов фототерапии основываются на проведенных нерандомизированных про- и ретроспективных исследованиях, однако методология проведения исследований различается и по режиму назначения, и по длительности терапии [5–7]. В связи с этим актуальным является проведение проспективных исследований, направленных на поиск оптимальных по своей эффективности и безопасности режимов назначения УФВ-311 в лечении больных грибовидным микозом.
Цель исследования — оценить эффективность оптимизированного режима назначения узкополосной средневолновой ультрафиолетовой терапии в лечении больных грибовидным микозом в сравнении с ПУВА-терапией.
Методы
Дизайн исследования
Проведено проспективное нерандомизированное сравнительное исследование. Использовались клинические и статистические методы. Больные были распределены на две группы: в основную группу включено 15 больных, которые получали УФВ-311, в группу сравнения — 15 больных, получавших ПУВА-терапию с пероральным применением фотосенсибилизатора.
Критерии соответствия
Критерии включения: пациенты 18 лет и старше с подтвержденным диагнозом «Т-клеточная лимфома кожи, грибовидный микоз», стадии IA–IIA; пациенты, не получающие системную терапию по поводу основного заболевания не менее месяца до начала курса фототерапии.
Критерии невключения: наличие противопоказаний к назначению ультрафиолетовой терапии, сопутствующие заболевания в стадии декомпенсации, а также наличие у пациентов иных заболеваний кожи (например, экземы, себорейного дерматита), которые могли помешать оценке эффективности проводимой терапии.
Условия проведения
Исследование проведено в отделе дерматологии и отделении физиотерапии ФГБУ «Государственный научный центр дерматовенерологии и косметологии» Минздрава России.
Описание медицинского вмешательства
В качестве источников ультрафиолетового излучения для проведения УФВ-311 использовалась ультрафиолетовая кабина UV 7002К, укомплектованная лампами для узкополосной средневолновой фототерапии. Проводилось облучение всего кожного покрова с экранированием слизистых оболочек, половых органов, сосков, мочек ушей, губ. Начальная доза облучения составляла 0,1–0,2 Дж/см2 и зависела от фототипа кожи. Процедуры проводились 4 раза/нед с повышением разовых доз каждую 1–2 процедуры на 0,1 Дж/ см2. Продолжительность курса составляла не менее 30 и не более 40 процедур.
Для проведения ПУВА-терапии использовалась ультрафиолетовая кабина UV 7002К, укомплектованная лампами для ПУВА-терапии. В качестве фотосенсибилизатора применялся перорально препарат амми большой плодов фурокумарины в таблетках по 20 мг в дозе 0,8 мг/кг массы тела за 2 ч до облучения. Проводилось облучение всего кожного покрова с экранированием слизистых оболочек, половых органов, сосков, мочек ушей, губ. Начальная доза УФА в зависимости от фототипа кожи составляла 0,25–1,0 Дж/ см2. Процедуры проводились 4 раза/нед. Разовая доза облучения увеличивалась каждую вторую процедуру на 0,25–1,00 Дж/см2. Курс лечения составлял не менее 30 и не более 40 процедур.
Исходы исследования
Основной исход исследования — оценить достижение полных и частичных ремиссий, стабилизации заболевания или регистрация неэффективности терапии.
Дополнительные исходы исследования — влияние продолжительности терапии и суммарных доз облучения на динамику показателей клинических индексов.
Методы регистрации исходов
Выраженность клинических проявлений оценивалась с использованием индекса оценки площади поражения (BSA) и модифицированной шкалы оценки тяжести поражения кожи (mSWAT), применяемой для количественной оценки массы опухоли при Т-клеточных лимфомах кожи. Эффективность терапии оценивалась на 10-й, 20-й процедуре и на этапе завершения лечения при помощи расчета динамики показателей клинических индексов, выраженной в абсолютных значениях, их дельты и процента снижения, а также согласно критериям, предложенным Международным обществом по лимфомам кожи (ISCL), Европейской организацией по изучению и лечению рака (EORTC) и Американским консорциумом по кожным лимфомам (USCLC).
Этическая экспертиза
Работа одобрена локальным этическим комитетом ФГБУ «ГНЦДК» Минздрава России (протоколы № 2 от 28 февраля 2018 г. и № 1 от 29 января 2021 г.). Все процедуры, предусмотренные протоколом исследования, проводились после добровольного подписания пациентами информированного согласия.
Статистический анализ
Принципы расчета размера выборки. Размер выборки предварительно не рассчитывался.
Методы статистического анализа данных. Учитывая, что распределение данных отличалось от нормального, применялись непараметрические статистические методы. Данные представлены в виде медиан и квартилей (Me (Q1; Q3)). Для оценки различий данных в связанных выборках применяли непараметрический критерий Фридмана, в несвязанных — критерий Манна–Уитни. Для оценки взаимосвязей использовали коэффициент ранговой корреляции Спирмена. Уровень значимости различий был принят равным 0,05. Хранение данных осуществляли с помощью программы Microsoft Excel, статистическую обработку — с использованием пакета Statistica.
Результаты
Объекты (участники) исследования
В исследование включено 30 больных грибовидным микозом в возрасте от 28 до 74 лет (62 (54; 67)), из них 13 (43,3%) мужчин и 17 (56,7%) женщин (табл. 1). Стадия IB установлена у 17 (56,7%) больных, стадия IIA — у 13 (43,3%). Давность заболевания пациентами оценивалась от 3 до 36 лет (9,5 (7; 21)); от момента появления первых высыпаний до верификации диагноза «грибовидный микоз» проходило от 1 до 30 лет (7 (4; 14)). Среди сопутствующих заболеваний в 50% случаев (n = 15) регистрировались патологии органов зрения (на долю катаракты пришлось 46,6% (n = 7)); в 46,6% (n = 14) — артериальная гипертензия; в 30% (n = 9) — заболевания щитовидной железы и органов желудочно-кишечного тракта. У 13 (43,3%) пациентов наблюдалась лимфаденопатия. Жалобы на зуд предъявляли 18 (60%) больных, выраженность зуда по ВАШ больными оценивалась от 3 до 8 баллов (5 (4; 6)).
Таблица 1. Характеристики пациентов в группах терапии
Table 1. Characteristics of patients in treatment groups
Показатель | Группа | |
УФВ-311 (n = 15) | ПУВА-терапия (n = 15) | |
Возраст, лет | 62 (53; 68) | 62 (54; 66) |
Пол (мужчины/женщины), n | 6/9 | 7/8 |
Стадия заболевания (IВ/IIA), n | 12/3 | 5/10 |
Длительность заболевания, годы | 12 (7; 24) | 9 (6; 21) |
Предшествующая терапия, n: системные глюкокортикостероиды | 4 | 3 |
фототерапия | 3 | 6 |
интерферон альфа-2b | 2 | 3 |
метотрексат | 1 | 1 |
проспидин | 2 | 0 |
CHOP | 1 | 0 |
вориностат | 0 | 1 |
Индекс BSA | 21 (12,5; 35,0) | 24 (14,0; 36,3) |
Индекс mSWAT | 27 (17,5; 44,0) | 34 (18,0; 58,6) |
Жалобы на зуд, n (%) | 9 (60) | 9 (60) |
ВАШ | 4 (4; 6) | 5 (5; 6) |
Примечание. Данные представлены в виде Ме (LQ; HQ).
Note. The data are presented as Me (LQ; HQ).
Все больные (100%) ранее получали топические глюкокортикостероды; 7 больных (23,3%) — системные глюкокортикостероды; 9 (30%) — фототерапию (5 — ПУВА-терапию, 4 — УФВ-311); 7 (23,3%) — специфическую системную терапию (интерферон альфа-2b, метотрексат) (см. табл. 1). Больше половины больных (16 (53,4%)) получали от 2 до 4 линий предшествующей терапии.
Все пациенты в обеих группах терапии имели в клинической картине как пятнистые, так и инфильтративно-бляшечные высыпания. Медиана показателя клинического индекса mSWAT составила 32,5 (18; 55), BSA — 21,7 (14; 35,5) (см. табл. 1). Между группами терапии отсутствовали статистически значимые различия в исходных показателях клинических индексов BSA и mSWAT (р > 0,05), что говорит о сопоставимости двух групп терапии по выраженности клинических проявлений.
Определение фототипа кожи показало, что в группе УФВ-311 преобладал II фототип — 9 (60%) пациентов; у 2 (13,3%) пациентов был I фототип и у 4 (26,7%) — III фототип; медиана — 2 (2; 3). В группе ПУВА-терапии регистрировался преимущественно III фототип кожи — 10 (66,7%) пациентов; у 5 (33,3%) пациентов определен II фототип.
Основные результаты исследования
Средняя продолжительность курса УФВ-311 составила 35,4 процедуры (от 30 до 40), медиана — 35 (32; 40); медиана суммарной дозы облучения — 28,9 (25,3; 42,3) Дж/см2. В группе ПУВА-терапии продолжительность лечения в среднем составляла 35,7 процедуры (от 30 до 40), медиана — 36 (32; 40); медиана суммарной дозы облучения — 129,2 (110,7; 161,5) Дж/см2.
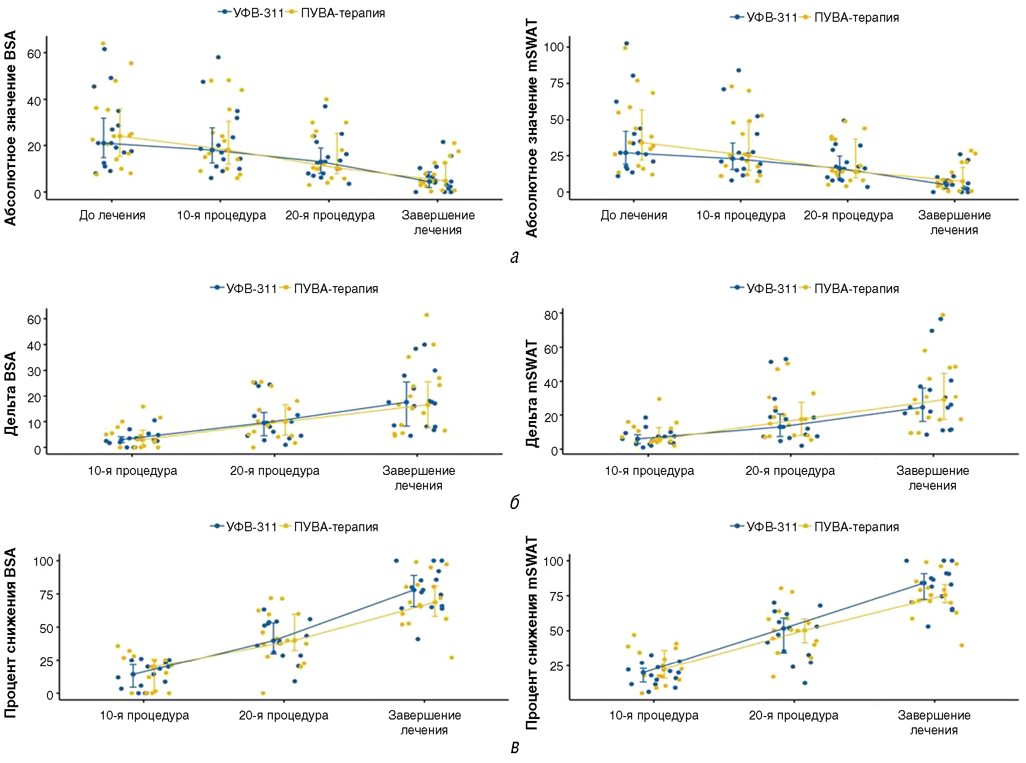
На фоне терапии УФВ-311 наблюдалась положительная динамика у пациентов как с минимальным значением клинических индексов, так и с выраженными клиническими проявлениями и большой площадью поражения (рис. 1). Выявлены статистически значимые различия в динамике клинических индексов BSA и mSWAT между 10-й и 20-й процедурой и между 20-й процедурой и завершением лечения (р < 0,05) (рис. 2, табл. 2, 3).
Рис. 1. Эффективность УФВ-311 в лечении пациентов с инфильтративно-бляшечными очагами (а) и с преимущественно пятнистыми высыпаниями (б): а — пациент К. до лечения (BSA — 49,2; mSWAT — 80,4) и после лечения (BSA — 10,8; mSWAT — 10,8); б — пациентка Л. до лечения (BSA —17,5; mSWAT — 21,0) и после лечения (BSA — 0; mSWAT — 0)
Fig. 1. Efficacy of UVB-311 in the treatment of patients with infiltrative plaque sites (a) and with predominantly macular rashes (б): а — patient K. at baseline (BSA — 49.2; mSWAT — 80.4) and after treatment (BSA — 10.8; mSWAT — 10.8); б — patient L. at baseline (BSA — 17.5; mSWAT — 21.0) and after treatment (BSA — 0; mSWAT — 0)
Рис. 2. Изменения клинических индексов в процессе лечения УФВ-311, выраженные в дельтах (а), проценте снижения (б) и абсолютных значениях (в) BSA и mSWAT (p > 0,05)
Fig. 2. Changes in clinical indices during UVV-311 treatment expressed in deltas (a), percentage of reduction (б), and absolute values (в) of BSA and mSWAT (p > 0.05)
Таблица 2. Сравнительный анализ изменения значений индексов mSWAT в процессе УФВ-311 и ПУВА-терапии
Table 2. Comparative analysis of changes in mSWAT index values during UVB-311 and PUVA therapy
mSWAT (УФВ-311/ПУВА-терапия) | |||
Абсолютные значения | Дельта | Доля снижения, % | |
До терапии | 27,0 (17,5; 44,0)/34 (18,0; 58,6) | — | — |
10 процедур | 23,0 (15,0; 40,0)*/25 (12,0; 49,2)* | 6,0 (3,0; 9,4)/5,8 (4,0; 13,1) | 20,0 (11,7; 23,8)/22,6 (14,8; 37,5) |
20 процедур | 16,3 (8,7; 29,0)*/14,0 (8,1; 36,5*) | 13,0 (7,3; 22,5)/17,5 (8,0; 30,5) | 51,7 (32,7; 61,9)/50,3 (40,0; 58,8) |
Завершение терапии | 5,0 (2,3; 10,3)*/7,4 (2,5; 20,5)* | 24,5 (11,5; 37,0)/29 (17,3; 48,0) | 83,0 (65,7; 90,6)/75,4 (70,0; 85,2) |
*Различия в сравнении с исходными данными абсолютных значений клинических индексов mSWAT достоверны, р < 0,05.
Примечание. Данные представлены в виде Me (Q1; Q3).
*Differences compared to baseline for the absolute values of mSWAT clinical indices are significant, p < 0.05.
Note. The data are presented as Me (Q1; Q3).
Таблица 3. Сравнительный анализ изменения значений индекса BSA в процессе УФВ-311и ПУВА-терапии
Table 3. Comparative analysis of changes in BSA index values during UVB-311 and PUVA therapy
BSA (УФВ-311/ПУВА-терапия) | |||
Абсолютные значения | Дельта | Доля снижения, % | |
До терапии | 21,0 (12,5; 35,0)/24,0 (14,0; 36,3) | — | — |
10 процедур | 18,0 (11,0; 32,0)*/18,0 (10,0; 35,7)* | 3,0 (1,7; 4,8)/3,0 (0; 7,8) | 14,2 (3,4; 23,1)/20,0 (0; 26,8) |
20 процедур | 13,0 (8,0; 21,5)*/10,4 (6,0; 26,2)* | 9,5 (4,5; 14,5)/10,0 (4,5; 18,0) | 39,8 (28,6; 53,7)/40 (27,8; 60,0) |
Завершение терапии | 4,5 (1,5; 10,3)*/4,8 (2,5; 12,5)* | 17,5 (8,0; 28,0)/16,5 (6,5; 27,0) | 76,2 (64,2; 85,7)/68,7 (56,2; 81,8) |
*Различия в сравнении с исходными данными абсолютных значений клинических индексов BSA достоверны, р < 0,05.
Примечание. Данные представлены в виде Me (Q1; Q3).
*Differences compared to baseline for the absolute values of BSA clinical indices are significant, p < 0.05.
Note. The data are presented as Me (Q1; Q3).
Согласно критериям оценки эффективности, достижение полной ремиссии к концу курса терапии УФВ-311 регистрировалось у 3 (20%) пациентов, частичная ремиссия — у 11 (73,3%), 1 (6,7%) пациент достиг стабилизации заболевания (рис. 3). Важно отметить, что к 10-й процедуре неэффективность терапии, согласно критериям оценки (сокращение площади поражения ≤ 25%), регистрировалась у 80% пациентов, а к 20-й процедуре сокращалась до 13,3%. После курса УФВ-311 у 4 (44,4%) пациентов сохранялись жалобы на зуд, однако интенсивность зуда снизилась и составляла от 1 до 3 баллов по ВАШ.
Рис. 3. Сравнительная оценка эффективности ПУВА-терапии и УФВ-311 согласно критериям, предложенным консорциумами ISCL, EORTC и USCLC
Fig. 3. Comparative evaluation of efficacy of PUVA and UVB-311 according to the criteria proposed by the ISCL, EORTC, and USCLC consortia
Положительная корреляционная связь высокой силы (по шкале Чеддока) была зафиксирована между числом процедур УФВ-311 и процентом снижения клинических индексов: mSWAT (R = 0,892; p < 0,001) и BSA (R = 0,901; p < 0,001).
В группе ПУВА-терапии изменения показателей эффективности mSWAT и BSA на всех этапах оценки были статистически значимыми (р < 0,05) (рис. 4, см. табл. 2, 3). К концу курса терапии 1 (6,7%) пациент достиг полной ремиссии, 13 (86,6%) — частичной ремиссии и 1 (6,7%) пациент — стабилизации заболевания (см. рис. 3). У 66,7% пациентов к 10-й процедуре была зарегистрирована неэффективности терапии (сокращение площади поражения на ≤ 25%), к 20-й процедуре доля неответчиков сократилась до 20% (3 пациента). Клинические примеры эффективности ПУВА-терапии представлены на рис. 5. После завершения лечения жалобы на зуд сохранялись у 4 (44,4%) пациентов, интенсивность зуда оценивалась ими от 2 до 4 баллов по ВАШ.
Рис. 4. Динамика клинических индексов в процессе ПУВА-терапии, выраженная в дельтах (а), проценте снижения (б) и абсолютных значениях (в) (p > 0,05)
Fig. 4. Changes in clinical indices during PUVA therapy expressed in deltas (a), percentage of reduction (б), and absolute values (в) (p > 0.05)
Рис. 5. Эффективность ПУВА-терапии в лечении пациентов с разной степенью выраженности клинических проявлений: а — пациентка С. до лечения (BSA — 64,0; mSWAT — 99,4) и после лечения (BSA — 12,5; mSWAT — 20,5); б — пациент М. до лечения (BSA — 24; mSWAT — 44) и после лечения (BSA — 17,5; mSWAT — 26,5)
Fig. 5. Efficacy of PUVA therapy in the treatment of patients with varying degrees of clinical manifestations: a — patient S. at baseline (BSA — 64.0; mSWAT — 99.4) and after treatment (BSA — 12.5; mSWAT — 20.5); б — patient M. at baseline (BSA — 24; mSWAT — 44) and after treatment (BSA — 17.5; mSWAT — 26.5)
Обнаружена прямая положительная корреляционная связь высокой силы (по шкале Чеддока) между числом процедур ПУВА-терапии и динамикой клинических индексов: mSWAT (R = 0,803; p < 0,001) и BSA (R = 0,786; p < 0,001).
Сравнительный анализ эффективности терапии между группами показал отсутствие статистически значимых различий в динамике клинических индексов BSA и mSWAT (р > 0,05) (рис. 6, см. табл. 2, 3). Согласно критериям оценки эффективности, к 10-й процедуре ни в одной группе терапии не были достигнуты целевые показатели эффективности (достижение полной и частичной ремиссии). К 20-й процедуре частичные ремиссии чаще регистрировались в группе УФВ-311 — 40% (n = 6) по сравнению с 33,3% (n = 5) в группе ПУВА-терапии. На этапе завершения курса лечения достижение общего ответа (сумма показателей полной и частичной ремиссии) было сопоставимо между группами терапии — 93,3% (n = 14) (см. рис. 3). Однако полные ремиссии регистрировались чаще в группе УФВ-311 (20% (n = 3)) в сравнении с группой ПУВА-терапии (6,7% (n = 1)). Отмечалось равномерное сокращение доли пациентов с жалобами на зуд в группах терапии.
Рис. 6. Динамика клинических индексов BSA и mSWAT, выраженная в абсолютных значениях (а), дельтах (б) и проценте снижения (в) в группах УФВ-311 и ПУВА в процессе терапии (p > 0,05)
Fig. 6. Changes in clinical BSA and mSWAT indices expressed in absolute values (a), deltas (б), and percentage of reduction (в) in UVV-311 and PUVA groups during therapy (p > 0.05)
Нежелательные явления
Среди нежелательных явлений в группе УФВ-311 у 40% пациентов в процессе лечения отмечалось появление эритемы легкой и умеренной степени выраженности, которая не требовала прекращения лечения и купировалась использованием наружных препаратов, содержащих дексапантенол, в течение 2–3 дней.
В группе ПУВА-терапии развитие нежелательных явлений наблюдалось у 73% (n = 11) пациентов. У 8 (53,3%) в процессе терапии регистрировалось появление эритемы: у 6 (75%) из них эритема была легкой и умеренной степени выраженности, не требовавшей прекращения лечения; у 2 (25%) пациентов развились фототоксические реакции, что стало причиной прекращения курса лечения. Петехиальная сыпь на фоне лечения возникла у 1 (6,6%) пациента, 2 (13,3%) пациента предъявляли жалобы на чувство тошноты и головные боли.
Обсуждение
Резюме основного результата исследования
Примененный режим УФВ-311 продолжительностью не менее 35 процедур продемонстрировал сопоставимую эффективность с ПУВА-терапией у пациентов с ранними стадиями грибовидного микоза с пятнистыми и инфильтративно-бляшечными очагами. Общий ответ на терапию к концу курса лечения составил 93,3% (n = 14) в обеих группах, отсутствовала статистически значимая разница в динамике клинических индексов BSA и mSWAT в процессе терапии ПУВА и УФВ-311. Сравнительный анализ безопасности показал, что частота развития нежелательных явлений в группе УФВ-311 регистрировалась реже, чем в группе ПУВА-терапии, — 40 против 73%.
Обсуждение основного результата исследования
Результаты исследования согласуются с данными литературы, что ПУВА-терапия и УФВ-311 могут быть сопоставимы по эффективности в лечении больных грибовидным микозом на ранних стадиях [5]. Считается, что УФВ-311 эффективна в лечении больных с преимущественно пятнистыми высыпаниями [2]. Однако результаты проведенного исследования показали, что УФВ-311 может также с успехом применяться у больных с инфильтративно-бляшечными элементами. Кроме того, частота возникновения нежелательных реакций на фоне лечения УФВ-311 ниже в сравнении с ПУВА-терапией, что во многом объясняется отсутствием необходимости перорального приема фотосенсибилизаторов [5]. В исследовании в группе ПУВА-терапии у 2 (13,3%) пациентов развились фототоксические реакции, лечение в группе УФВ-311 не сопровождалось возникновением серьезных нежелательных явлений, что указывает на хорошую переносимость и безопасность метода.
Ограничения исследования
Грибовидный микоз относится к орфанным заболеваниям [8], в связи с чем формирование большой выборки пациентов, сопоставимых по исходной степени тяжести, является непростой задачей.
Заключение
УФВ-311 в режиме 4 раза/нед с повышением разовых доз каждую 1–2 процедуры на 0,1 Дж/см2, продолжительностью не менее 35 процедур обеспечивает эффективность, сопоставимую с ПУВА-терапией, применяемой в режиме 4 раза/нед с увеличением разовой дозы облучения каждую вторую процедуру на 0,25–1,00 Дж/см2, продолжительностью не менее 35 процедур.
Предложенный режим УФВ-311 может рекомендоваться в качестве терапии первой линии у пациентов с ранними стадиями грибовидного микоза как с пятнистыми, так и с инфильтративно-бляшечными высыпаниями.
About the authors
Anastasiia A. Vorontsova
State Research Center of Dermatovenereology and Cosmetology
Author for correspondence.
Email: nastasia08@bk.ru
ORCID iD: 0000-0002-3129-0050
SPIN-code: 8334-2890
Dermatovenerologist
Россия, MoscowMar’yana B. Zhilova
State Research Center of Dermatovenereology and Cosmetology
Email: zhilova@cnikvi.ru
ORCID iD: 0000-0003-2545-2129
SPIN-code: 8930-4073
MD, Dr. Sci. (Med.)
Россия, MoscowLyudmila F. Znamenskaya
State Research Center of Dermatovenereology and Cosmetology
Email: znaml@cnikvi.ru
ORCID iD: 0000-0002-2553-0484
SPIN-code: 9552-7850
MD, Dr. Sci. (Med.)
Россия, MoscowReferences
- Грибовидный микоз: клинические рекомендации / Одобрены Научно-практическим советом Минздрава России, 2023. URL: https://cr.minzdrav.gov.ru/view-cr/223_2
- Trautinger F, Eder J, Assaf C, Bagot M, Cozzio A, Dummer R, et al. European Organisation for Research and Treatment of Cancer consensus recommendations for the treatment of mycosis fungoides/Sézary syndrome — Update 2017. Eur J Cancer. 2017;77:57–74. doi: 10.1016/j.ejca.2017.02.027
- Herrmann JJ, Roenigk HH Jr, Hurria A, Kuzel TM, Samuelson E, Rademaker AW, et al. Treatment of mycosis fungoides with photochemotherapy (PUVA): long-term follow-up. J Am Acad Dermatol. 1995;33(2Pt 1):234–242. doi: 10.1016/0190-9622(95)90241-4
- Young A. Carcinogenicity of UVB phototherapy assessed. Lancet. 1995;345:1431–1432. doi: 10.1016/S0140-6736(95)92617-8
- Phan K, Ramachandran V, Fassihi H, Sebaratnam DF. Comparison of narrowband UV-B with psoralen-UV-A phototherapy for patients with early-stage mycosis fungoides: a systematic review and meta-analysis. JAMA Dermatol. 2019;155(3):335–341. doi: 10.1001/jamadermatol.2018.5204
- Gathers RC, Scherschun L, Malick F, Fivenson DP, Lim HW. Narrowband UVB phototherapy for early-stage mycosis fungoides. J Am Acad Dermatol. 2002;47(2):191–197. doi: 10.1067/mjd.2002.120911
- Dereure O, Picot E, Comte C, Bessis D, Guillot B. Treatment of early stages of mycosis fungoides with narrowband ultraviolet B. A clinical, histological and molecular evaluation of results. Dermatology. 2009;218(1):1–6. doi: 10.1159/000161114
- Перечень редких (орфанных) заболеваний. URL: https://minzdrav.gov.ru/documents/8048
Supplementary files










